La Historia del Internet.

  • Se estableció ARPANET

    Se estableció ARPANET

    Primera red sin nodos centrales.
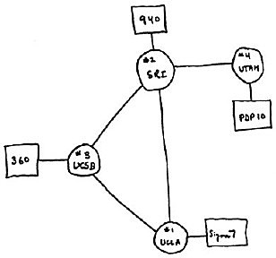
  • Primera transmisión entre UCLA y SRI.

    Primera transmisión entre UCLA y SRI.

    Universidad de
    California Los Angeles (UCLA),
    Stanford Research Institute (SRI).
  • Se incorporan varias universidades.

    Se incorporan varias universidades.

    Al percatarse de las ventajas que conllevaba la
    interconexión, se fueron incorporando diversas universidades e instituciones; por lo que en este año ya había 15
    nodos.
  • ARPANET

    ARPANET

    Se internacionalizó, con
    la incorporación de la Universidad College of London
    (Gran Bretaña) y NORSAR (Norwegian Seismic Array,
    Noruega).
  • ARPA

    ARPA

    Declaró como estándar el protocolo TCP/IP y aparece la primera definición de internet.
  • El Ministerio de Defensa USA.

    El Ministerio de Defensa USA.

    Consideró oportuno abandonar ARPANET y establecer una red independiente bajo su control absoluto
    (MILNET).
  • Empresa Netscape.

    Empresa Netscape.

    Lanzó su navegador,
    tomando como base Mosaic, y al año siguiente ya
    dominaba m·s del 80% del mercado.
  • Bernens-Lee

    Bernens-Lee

    Abandonó el CERN en 1994 y fundó World Wide Web Consortium (W3C) en el MIT (Massachusetts Institute of Techno- logy), una entidad que coordina el desarrollo de la Red.
  • Microsoft

    Microsoft

    Microsoft no lanzó la primera versión
    de su propio navegador, Internet Explorer, pero era gratuito.
  • Yahoo!

    Yahoo!

    Salió a Bolsa. Su cotización inicial de 13 dólares por acción se convirtió en 33 dólares al terminar la sesión.
  • Bhatia y Smith

    Bhatia y Smith

    Pusieron su servidor, al que llamaron Hotmail, en Internet y tres horas después ya tenían mas de 500 suscriptores.
  • Hotmail

    Hotmail

    Es adquirida por Microsoft a cambio de casi tres millones de acciones de esta compañía, que estaban valoradas en Bolsa en alrededor de 400 millones de dólares.
  • Suscriptores.

    Suscriptores.

    Hotmail tenía más de 110 millones de suscriptores en todo el mundo; cuatro millones correspondían a España. Hoy en día, Hotmail forma parte del portal MSN de Microsoft.
  • AOL

    AOL

    Anunció que dejarla de desarrollar nuevas versiones de Netscape.

Looking for a timeline maker?

Create timelines for projects, roadmaps, history, lessons, legal cases, and stories with Timetoast. Timetoast is a timeline maker for work, school, research, and stories.