Internet

La historia de la Internet

  • 1958

    1958

    La compañía Bell crea el primer modem que podía transmitir datos binarios sobre una linea telefónica simple.
  • 1960

    1960

    Los inicios de la Internet se remontan a los años 60. En plena guerra fría, Estados Unidos crea una red exclusivamente militar, con el objetivo de que, en caso de un ataque ruso, se pudiera tener acceso a la información militar desde cualquier punto del país.
  • 1961

    1961

    Leonard Kleinrock crea la primera teoría sobre la conmutación de paquetes para la transferencia de datos.
  • 1962

    1962

    Inicio de investigaciones por parte de ARPA, una agencia del ministerio Estadounidense de defensa sobre una red global
  • 1963

    1963

    Lickleder las primeras ideas acerca de la red global de ordenadores
  • 1964

    1964

    Leonard Kleinrock pública un libro acerca de la conmutación de paquetes para implementar una red.
  • 1965

    1965

    En 1965, el Instituto Tecnológico de Massachusetts (MIT) fue el pionero en demostrar el uso del primer sistema de correo electrónico, conocido como MAILBOX. Este sistema enviaba mensajes a diferentes usuarios en la misma computadora, debido a que en ese entonces no existían las redes de computadoras.
  • 1966

    1966

    Robert Taylor, director de la IPTO en 1966, tuvo una brillante idea basada en las ideas propuestas por J. C. R. Lickleder en un artículo llamado Man-Computer Symbiosis (aquí está en formato PDF junto con otro artículo de Lickleder llamado The Computer Communication Device) para la trasferencia de información por medio de ordenadores.
  • 1967

    1967

    Se lleva a cabo la primera conferencia acerca de ARPANET.
  • 1968

    1968

    En agosto de 1968, después de que Roberts y la comunidad financiada por DARPA redefinieran la estructura general y las especificaciones de ARPANET, DARPA publicó una solicitud de presupuesto para desarrollar uno de los componentes clave, los conmutadores de paquetes llamados procesadores de mensajes de interfaz (IMP).
  • 1969

    1969

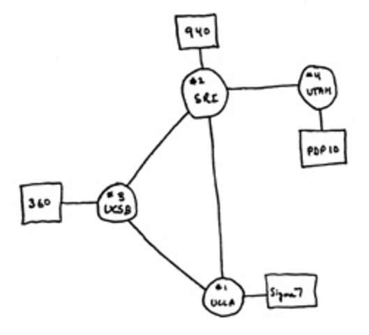
    La red ARPANET se creó en 1969. En principio, la red contaba con 4 ordenadores distribuidos entre distintas universidades del país.
    Se realiza la primera conexión de cuatro computadoras a través de la red de la interfaz Message processor de Leonard Kleinrock.
  • 1971

    1971

    En 1971, Ray Tomlinson inventa el correo electrónico gracias a la adaptación de un programa militar. El carácter "@" ya se usaba para separar el nombre del usuario del resto de la dirección.
    Se crea el primer virus llamado Creeper (Enredadera) el cual es un programa informático experimental autoreplicante escrito por Bob Thomas en la BBN1. Diseñado no para causar daño sino para crear un programa que se moviera entre ordenadores. Sin embargo afectaba a los ordenadores que se utlizaban.
  • 1973

    1973

    La comunicación entre las diversas redes era difícil debido a que utilizaban diferente hardware y protocolos de comunicación. Para resolver este problema de comunicación la DARPA empezó a trabajar y lanzó el proyecto de comunicación inter-redes en 1973. La meta era desarrollar un lenguaje de comunicación uniforme para que las diversas redes se pudieran comunicar entre sí y formar una mega red.
  • 1975

    1975

    Después de varios años de desarrollo y pruebas, ARPANET se declara operacional. En ese momento ya hay 61 nodos conectado.
  • 1980

    1980

    Se publica la primera versión de Ethernet que más adelante se convertirá en la tecnología estándar para las redes locales cableadas.
  • 1981

    1981

    Se desarrolla el protocolo SMTP para la transmisión de correos electrónicos que aún se sigue utilizando en la actualidad
    - IBM lanza el Personal Computer (PC)
  • 1983

    1983

    Los protocolos de TCP/IP reemplazan a NCP en ARPANET.
    ARPANET había sido un desarrollo planteado por el Departamento de Defensa norteamericano, sin embargo, se usa amplimente por instituciones civiles, especialmente por centros académicos. En este año se separa la parte de defensa en una red llamada MILNET
    - Se desarrolla el protocolo DNS utilizado aún en la actualidad y cuya principal función es proporcionar la dirección IP de un equipo conectado en la red a partir de su nombre de dominio.
  • 1984

    1984

    Se introducen los dominios .org, .net, .com, .edu, .gov, .mil y los de los países
    - Se publica el modelo OSI con la idea de servir de referencia en el desarrollo de redes. Unos años después se abandonaría debido a la complejidad y lentitud en el desarrollo de sus protocolos
    - Nace Cisco
  • 1985

    1985

    Se crea la primera PC multimedia comercial (empresa Comodore International); compañía estadounidense de eléctrica y hadware.
  • 1986

    1986

    Jarkko Oikarinen crea el (IRC) o Internet relay chat por protocolo de comunicación que permite la mensajería en grupos o entre dos personas basado en texto y tiempo real.
  • 1989

    1989

    En 1989, Tim Berners-Lee, un licenciado en Física que trabajaba en el Laboratorio Europeo de Física de Partículas (CERN, Organisation Européenne pour la Recherche Nucléaire), propuso un proyecto para la creación de un sistema de gestión de la información.
  • 1990

    1990

    En ARPANET deja de estar operativa de forma definitiva (quedando operativa solo la rama militar MILNET).
  • 1991

    1991

    Primer servidor web operativo en el CERN el día 06/08/1991
    - Backbone NSFNET completo a 45 Mbps
    - 100 países conectados
    - 600.000 hosts conectados
    - 5.000 redes conectadas
  • 1992

    1992

    Empezaron a funcionar los primeros servicios para compartir información a través de la Red, era el nacimiento del World Wide Web (www) o simplemente Web.
  • 1993

    1993

    El primer navegador que se ejecutó en un entorno gráfico (concretamente en entornos X de sistemas Unix) fue Mosaic, desarrollado en 1993, y tuvo una gran aceptación debido sobre todo a que era gratuito.
  • 1994

    1994

    Yahoo aparece en 1994 , que un año más tarde se convertiría en empresa con el fin de “ser el servicio global de Internet más esencial para consumidores y negocios”.
  • 1995

    1995

    • 200 servidores web en el mundo
    • NSFNET deja de ser el backbone de Internet
    • Comienza a operar Amazon como una tienda de libros.
  • 1996

    1996

    • Aparecen los primeros ISP: Sprint y MCI -Empieza a operar el servicio de correo electrónico Hotmail
  • 1997

    1997

    • Se publica el primer estándar Wi-Fi 802.11
  • 1998

    1998

    Google nació en 1998 revolucionando la manera en la que la gente buscaba información on-line
  • 1999

    1999

    Nació el proyecto SETI@home que hace uso de la computación distribuida mediante la potencia aportada por los ordenadores individuales de los usuarios adheridos al proyecto.
  • 2000

    2000

    La burbuja de las .com explota
    El 2000 será recordado como el año en el que una gran cantidad de inversores perdió su dinero en la Red.
  • 2001

    2001

    Se empieza a operar en Japón la primera red 3G.
    Nace WIKIPEDIA
  • 2004

    2004

    Aparece el término Web 2.0 para referirse a un nuevo modelo de páginas web, mucho más interactivas con el usuario. Dentro del nuevo universo Web 2.0 se encuentran las redes sociales y los blogs.
    Nace Facebook en 2004.
  • 2005

    2005

    • Comienza a operar Youtube
    • Comienza a operar Google Maps
  • 2006

    2006

    • Se crea Twiter
    • El número de sitios web alcanza la cifra de 92 millones
  • 2006

    2006

    En 2006, la ONU declaró que el día de internet sería el 17 de mayo.
  • 2007

    2007

    Aparece la la TV en Internet, los servicios de vídeo bajo demanda de contenidos televisivos comenzaron a nacer en 2007. De hecho, Hulu, compañía con capital de riesgo de ABC, NBC y Fox, permite ver on-line contenidos de dichas cadenas a traves de Internet.
    Surgen los iPhone e Internet para móviles.
  • 2008

    2008

    La indexación de Google alcanza la cifra de 10 elevado a 12, es decir, 1.000.000.000.000 de URLs
  • 2008

    2008

    Elecciones en Internet
    Las primeras "elecciones en la Red" tuvieron lugar el año pasado, y hablamos de las elecciones a presidente de los Estados Unidos
  • 2009

    2009

    • Datos de crecimiento de Internet: 234 millones de websites 1.730 millones de usuarios
  • 2009

    2009

    Internet más libre, ICANN
    Este año ha traido uno de los mayores cambios a Internet, ya que el gobierno de EE.UU. va a dejar liberar en cierta manera el control que mantenía sobre ICANN, el organismo regulador de los dominios de Internet.
  • 2010

    2010

    En cuanto a Facebook, se cree que habían 600 millones de usuarios en diciembre del 2010.
  • 2012

    2012

    Internet alcanza 2.4 millones de cibernautas.
  • 2013

    2013

    Aparecen los Smartphones y tablet, varias redes sociales, tales como Pintrest o Linkedin.
    La nube, la mensajería instantánea como lo es WhatsApp, aparecen plataformas como WordPress, Blogger y Tumbrl, Skype y MICROSOFT.
  • 2014

    2014

    A partir de este año aparecieron muchos dispositivos que cumplen con la premisa de internet, como los Wearables, los cuales permiten a los usuarios estar conectados todo el tiempo sin necesidad de usar un Smartphone.
  • 2015

    2015

    Se realizan pagos en linea y Amazon se convierte en una de las mejores empresas on-line.
    El uso de internet se incrementa.
  • 2016

    2016

    La internet sufre una caída dado que la privacidad de los usuarios se vio afectada por la aparición de hackers masivos.
    Tuenti la empresa más popular de España desaparece.
  • 2017

    2017

    Tecnología 3D para Windows:
    Windows apuesta por la popularización del 3D en entornos cotidianos. Ello vendrá de la mano del Creator's Update, la actualización de Windows 10, que tendrá herramientas para que los usuarios puedan fotografiar un objeto en tres dimensiones con su móvil.
  • 2018

    2018

    Robots con inteligencia artificial que combina algoritmos, softwares y sensores para facilitar los quehaceres domésticos.