Administración de redes sociales

introduccion de redes

  • introduccion en redes

    introduccion en redes

    ya empiezan a existir unas pequeñas computadoras , aisladas y en el mecanismos de entrada estaban conectadas mediante un cable
  • la primera conexion ala redes

    la primera conexion ala redes

    se establece una conecion de dos computadores de dos compañias mediante una conexión de 1200 bsp.
  • la creación de ARPANET

    la creación de ARPANET

    Lawrence G. Roberts del MIT en la conferencia en Ann Arbor, Michigan planea la creación de "ARPANET" para poder utilizarla como un medio de comunicación entre los diferentes organismos nacionales
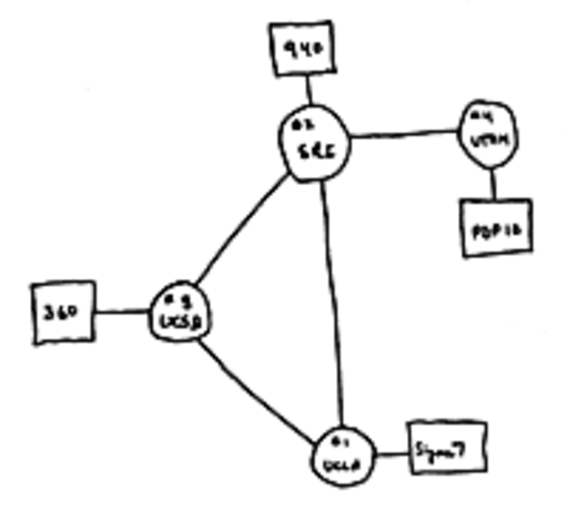
  • la primera conexión de ARPANET

    la primera conexión de ARPANET

    Los nodos eran minicomputadoras
    Honeywell DDP-516 con 12K en memoria con
    líneas telefónicas de 50 kbps
  • la red conmutada

    la red conmutada

    La universidad de Hawaii desarrolla la
    primera red conmutada
  • ARPANET crcrese

    ARPANET crcrese

    ARPANET crece a 15 nodos
  • adapta su programa de ARPANET

    adapta su programa de ARPANET

    Ray Tomlinson adapta un programa de
    correo electrónico para ARPANET
    El científico frances Louis Pouzin crea CYCLADES
  • ARPANET cambia su nombre

    cambia a D ARPANET y hace su primera conexión
    internacional con el University College of London
  • Vinton Cerf y Bob Kahn publicano

    Protocolo para la red de paquetes de Intercomunicación "
    el cual sea ESPECIFICA la arquitectur de Programa de las Naciones Unidas
    de Control de Transmisión (Transmission Control
    Programa, TCP)
  • TCP

    se divide en TCP e IP
  • USENET

    consistente en un sistema global de discusión en Internet, que evoluciona de las redes UUCP.
    Fue creado por Tom Truscott y Jim Ellis, estudiantes de la Universidad de Duke,
  • BITNET

    CSNET (Ciencias de la Computación de red) es construido por
    la Universidad de Wisconsin, la Universidad de
    Delaware, la Universidad de Purdue, RAND Corp., y
    BBN
  • Agencia de Comunicación de Defensa

    DARPA establecen el Transmission Control
    Protocol (TCP) e Internet Protocol (IP) y el
    conjunto de protocolos conocidos como
    se divide en ARPANET y MILNET.
    The military network, MILNET. 68 nodos de los
    113 fueron mudados a MILNET
  • Se introdujo

    Domain Name Service
  • Robert Morris, hijo de un experto decomputación

    National Security Agency,
    envía un gusano a través de la red, afectando a
    6,000 de los 60,000 hosts existentes. Él programó
    el gusano para reproducirse a sí mismo y filtrarse
    a través de los computadores conectados. El
    tamaño de los archivos llenaba la memoria de las
    máquinas desabilitándolas.
  • El CERN

    en Suiza, desarrolla la World Wide
    Web (WWW) y Tim Berner-Lee crea el lenguaje
    HyperText Markup Language (HTML)
  • el desarrolla la World Wide

    El CERN, en Suiza, desarrolla la World Wide
    Web (WWW) y Tim Berner-Lee crea el lenguaje
    HyperText Markup Language (HTML)
  • La NCSA

    crea Mosaic el primer navegador
    gráfico
  • Marc Andreessen crea el famoso navegador

    es diseñado el php .originalmente en lenguaje de perl y seguidos por un grupo de escritura de CGI binarios escritos en el lenguaje C por el programador danes -canadiense rasmus lerdonrf
  • Lanzamientos que hicieron

    1) El lanzamiento de windows 95 por parte de maicrosft
    2) Aparese la primera version de (MYSQL)
    3) La implementacion original de referencia del compilador la maquina virtual
    4) Fueron desarrollados el java por sun microsystems
    5) Inicia el desarrollo del servidor apache
    6) Se presenta publicamente de programacion RUBY
  • Secrea el internet2

    se crea el internet mas veloz que la internet original y que se publicaron las primeras versiones de navegador wep fue proyectado el KDE
    la tecnologia de DjVu y originalmete fue desarrollada en los laboratorios de AT&T
  • Aparese la primera version publica

    Es creado reproductor multimedia winamp y cuya distribucion es realizada gratuitamente por la empresa estadounidense NULLSOFT y spencer kimball y peter mattis crean
  • La w3c publica la primera version de xml

    compaq adquirio digital equipment corporation , la compañia lider en la anterior generacion computadoras durante los años 70 y principios de los 80 y lo convertia el segundo mas grande fabricante de computadoras
  • Aparese el escritorio GNOME

    se publica la primera version de MSN messenger
    y que surge MAC OS 9
  • Es lansado varios sistemas operativos

    es presentado el prototipo de computador cuantico y construido
    por un equipo de investigadores de IMB
    Y EL WIndows 2000 por Microsoft y el lanzamiento de
    Mac OS X
  • Es lanzado el sistema operativo

    Microsoft desarrolla como parte de su plataforma NET el lenguaje de programacion C# q despues fue aprobado como un estandar por la ECMA i SO
    y tambien fue lanzado de Windows XP por parte de maicroft
    y Larry sanger y jimmy wales fundo wikipedia
  • Lanzamiento del navegador

    web mozilla firefox, llamado en un primer momento phoenix
    y el simulador que seria el ordenador mas potente segun el
    TOP500
  • Lanzamientos de varios programas

    se lanza el programa Google Earth o en lanzamiento de
    Windows XPmedia center edition y puesta a funcionar un super computador MareNOStrum en el BSC y fue la creacion de youtube
  • Sistemas operativos

    microsoft Windows vista y entra en servicio el supercomputador
    Magerit perteneciente al CeSVIMA
  • La primera computadora

    la empresa DEll lanza al mercado la primera computadora portatil ( latop) con la distribucion linux Ubuntu preinstalada
    y la empresa de steve jobs Apple lanza al mercado la nueva
    version el Mac OS x Leopard 10.5
  • nuevos sistemas

    lanzan al mercado la MACBOOK Air la cual, al pareser es la latop mas delgada
    Apple lanza el movil mas revolucionario de la historia en toda Europa y america , el iphone 3G
    y el navegador Google Chorome
    de KDE 4 . 0
  • nuevos sucesores

    debian GNU/Linux 5.0
    KDE 4.2 RC
    Apple lanza la nueva version el Mac OS X Snow leopard 10.6
  • nuevos procesadores

    se espera de Google chrome OS un sistema operativo creado por la empresa Google y basado en linux y se espera la USB version 3.0 que representaria un avance en la velocidad de trasmision de datos en el dispositivo conectado y la computadora
  • nueva forma de conectar un mouse

    HP ha desarrollado una nueva forma de conectar un mouse al computador ahora lo podremos por medio de WiFI
  • El nuevo play station orbis

    el nuevo play station orbis tendria una targeta de video AMD radeon HD 7670 y un procesador AMD A8-3950 quad -core de 2.9GHz y ademas el procesador y tendria una tarjeta de video

A list shows items. A timeline shows sequence.

Use Timetoast to make dates, milestones, and turning points easier to understand in a clear visual format. Timetoast is a timeline maker for work, school, research, and stories.