Redes afiliados audit

introduccion a las redes de datos

  • 1960

    1960

    A principio de los años 60 solamente existian
    unas cuantas computadoras aisladas. El usuario
    tenia que estar cerca del computador porque los
    terminales, los únicos mecanismos de acceso al
    computador, estaban conectados al computador
    mediante un cable
  • 1966

    1966

    En 1966 dos computadores fueron conectados a
    través de un enlace discado de 1200 bps entre los
    laboratorios Lincoln y la compañía System
    Development Corporation
  • 1967

    1967

    En 1967 Lawrence G. Roberts del MIT presenta el
    primer plan para crear ARPANET (Advanced
    Research Projects Administration Network) en una
    conferencia en Ann Arbor, Michigan
  • 1969

    1969

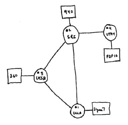
    En 1969 se establece la primera conexión de
    ARPANET. Los nodos eran minicomputadoras
    Honeywell DDP-516 con 12K en memoria con
    líneas telefónicas de 50 kbps.
    Nodo 1: UCLA (September)
    Nodo 2: Stanford Research Institute (SRI)
    (October)
    Nodo 3: University of California Santa Barbara
    (UCSB) (November)
    Nodo 4: University of Utah (December)
  • 1970

    1970

    1970 La universidad de Hawaii desarrolla la
    primera red conmutada
  • 1971

    1971

    1971 ARPANET crece a 15 nodos
  • 1972

    1972

    1972 Ray Tomlinson adapta su programa de
    correo electrónico para ARPANET
    El científico frances Louis Pouzin crea CYCLADES
  • 1973

    1973

    1973 ARPANET cambia su nombre a DARPANET
    1973 ARPANET hace su primera conexión
    internacional con el University College of London
  • 1974

    1974

    1974 Vinton Cerf and Bob Kahn publican "A
    Protocol for Packet Network Intercommunication"
    el cual especifica la arquitectura de un programa
    de control de transmisión (Transmission Control
    Program, TCP)
  • 1978

    1978

    1978 TCP se divide en TCP e IP
  • 1979

    1979

    1979 USENET
  • 1983

    1983

    1983 DCA (Defense Communication Agency) y
    DARPA establecen el Transmission Control
    Protocol (TCP) e Internet Protocol (IP) y el
    conjunto de protocolos conocidos como TCP/IP.
    1983 ARPANET se divide en ARPANET y MILNET.
    The military network, MILNET. 68 nodos de los
    113 fueron mudados a MILNET.
    1983 Se conectaron CSNET y ARPANET
  • 1984

    1984

    1984 Se introdujo Domain Name Service
  • 1988

    1988

    1988 Robert Morris, hijo de un experto de
    computación de la National Security Agency,
    envía un gusano a través de la red, afectando a
    6,000 de los 60,000 hosts existentes. Él programó
    el gusano para reproducirse a sí mismo y filtrarse
    a través de los computadores conectados. El
    tamaño de los archivos llenaba la memoria de las
    máquinas desabilitándolas.
  • 1991

    1991

    1991 El CERN, en Suiza, desarrolla la World Wide
    Web (WWW) y Tim Berner-Lee crea el lenguaje
    HyperText Markup Language (HTML)
  • 1993

    1993

    1993 La NCSA crea Mosaic el primer navegador
    gráfico
  • 1994

    1994

    1994 Dos estudiantes de doctorado de Stanford,
    Jerry Yang y David Filo, crean Yet Another
    Hierarchical Officious Oracle (Yahoo)

A list shows items. A timeline shows sequence.

Use Timetoast to make dates, milestones, and turning points easier to understand in a clear visual format. Timetoast is a timeline maker for work, school, research, and stories.