• bell

    La compañía BELL crea el primer módem que permitía transmitir datos binarios sobre una línea telefónica simple.
  • Leonard Kleinrock

    Leonard Kleinrock del Massachusetts Institute of Technology publica una primera teoría sobre la utilización de la conmutación de paquetes para transferir datos.
  • arpa

    arpa

    Inicio de investigaciones por parte de ARPA, una agencia del ministerio estadounidense de defensa, donde J.C.R. Licklider defiende exitosamente sus ideas relativas a una red global de computadoras.
  • Leonard Kleinrock

    Leonard Kleinrock

    Leonard Kleinrock del MIT publica un libro sobre la comunicación por conmutación de paquetes para implementar una red.
  • ARPANET

    ARPANET

    Primera conferencia sobre ARPANET
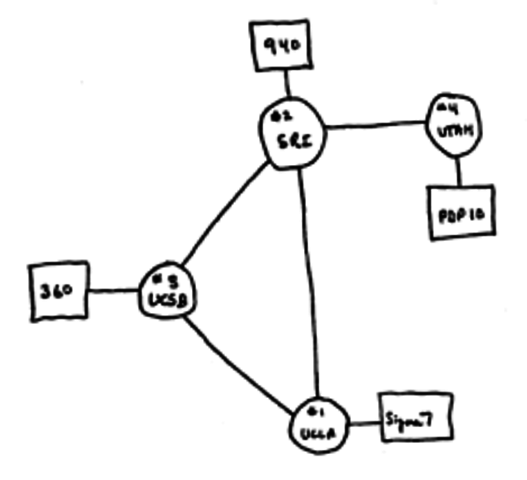
  • Leonard Kleinrock

    Conexión de las primeras computadoras entre 4 universidades estadounidenses a través de la Interface Message Processor de Leonard Kleinrock
  • Ray Tomlinson.

    Ray Tomlinson.

    23 computadoras son conectadas a ARPANET. Envío del primer correo por Ray Tomlinson.
  • Nacimiento del InterNetworking

    Nacimiento del InterNetworking

    Nacimiento del InterNetworking Working Group, organización encargada de administrar Internet.
  • Inglaterra y Noruega

    Inglaterra y Noruega se adhieren a Internet, cada una con una computadora.
  • NewsGroups

    Creación de los NewsGroups (foros de discusión) por estudiantes americanos.
  • Internet»

    Definición del protocolo TCP/IP y de la palabra «Internet»
  • sitios.

    Primer servidor de nombres de sitios.
  • computadoras

    computadoras

    1000 computadoras conectadas.
  • 10000 computadoras conectadas

    10000 computadoras conectadas.
  • computadoras

    100000 computadoras conectadas.
  • 1990

    Desaparición de ARPANET
  • www

    www

    Se anuncia públicamente la World Wide Web
  • web NCSA Mosaic1

    Aparición del navegador web NCSA Mosaic1
    Primer buscador de la historia, Wandex servía como un índice de páginas web.1
  • Explosión de la Burbuja.com

    Explosión de la Burbuja.com

    Explosión de la Burbuja.com
  • sitio web

    Primer sitio web que permitió la interacción táctil

Plan projects on a visual timeline

Map milestones, phases, deadlines, and key events in one place so the sequence is easier to see and share. Timetoast is a timeline maker for work, school, research, and stories.