History Of Astronomy

  • Lunar Eclipse centurie 2000 BC
    2000 BCE

    Lunar Eclipse centurie 2000 BC

    Lunar eclipse observed at Ur in Mesopotamia. The oldest known recording of a lunar eclipse took place at Ur more than 4000 years ago. p. 37, F 1.15.
  • Anaximenes model of the Cosmos
    560 BCE

    Anaximenes model of the Cosmos

    Anaximenes proposes model of cosmos. In Anaximenes model the stars are fixed to the inside of a solid vault surrounding the Earth. Later Greek astronomers develop this idea into the concept of the celestial sphere.
  • Xenophanes Layers of sediments on the ocean floor
    500 BCE

    Xenophanes Layers of sediments on the ocean floor

    Xenophanes concludes that the Earth is very old. Xenophanes reasoned that stratified rocks were laid down as layers of sediments on the ocean floor. Given the thickness of the rocks, he concluded that the Earth is ancient.
  • Eudoxus Rotatión of Earth
    400 BCE

    Eudoxus Rotatión of Earth

    Eudoxus explains retrograde motion. Eudoxus's explanation involved the rotation of spheres in opposite directions. This geocentric model had the Earth at its center.
  • Galileo "The Dialogue"

    Galileo "The Dialogue"

    Galileo publishes "The Dialogue". The Dialogue, although superficially a balanced debate about the merits of the geocentric and heliocentric models of the solar system, was in fact a powerful argument for the ideas of Copernicus. Galileo was brought before the Inquisition and spent the last nine years of his life under house arrest.
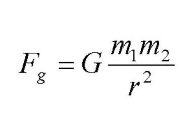
  • Newton law of Gravity

    Newton law of Gravity

    Newton discovers law of universal gravitation. When Cambridge University was closed by the plague, Newton spent most of the next two years at his family farm. During this period he made fundamental discoveries in optics, discovered the law of universal gravitation, and invented differential and integral calculus.
  • Hylleys Comet

    Hylleys Comet

    Edmund Halley predicts return of Comet Halley. Halley noted that comets with similar orbits had appeared in 1456, 1531, 1607, and 1682. He proposed that these were all the same comet and that it would return in 1758 or 1759 - which it did.
  • Coloris Effect

    Coloris Effect

    Gaspar de Coriolis discovers Coriolis effect. The Coriolis effect, the apparent deflection of moving bodies due to Earth's rotation, explained many atmospheric circulation patterns.
  • Albert Einstein - Photoelectric efect

    Albert Einstein - Photoelectric efect

    Albert Einstein explains the photoelectric efect. Einstein explained that the emission of electrons only by light at short wavelengths occurs because light consistes of bundles of energy called photons.
  • Edwin Hubble -spiral nebulae

    Edwin Hubble -spiral nebulae

    Edwin Hubble shows spiral nebulae are galaxies. Hubble identified individual Cepheid variable stars in spiral nebulae and used them to show that the spiral nebulae are huge collections of stars far from the Milky Way.