Logo

Historien om Internett

By 5arn
  • Period: to

    Internettet historie

  • intergalactic network

    intergalactic network

    Visjonen om et "intergalactic network" – et verdensomspennende nettverk av datamaskiner hvor alle raskt kunne aksessere data og programmer fra er hvilket som helst sted – ble skapt av J.C.R. Licklider, leder av Information Processing Techniques Office ved ARPA.blering av ARPANET.
  • Plan for ARPANET ble publiser

    Plan for ARPANET ble publiser

    Plan for ARPANET ble publiser
  • Resource Sharing Computer Network

    ARPA's program plan for ARPANET, kalt "Resource Sharing Computer Networks" ble etablert. Kontrakter ble tildelt noen forskningsmiljøer som de første ARPANET sitene for å etablere ARPANET.
  • Kommunikasjon mellom de fire første nodene i ARPANET

    Kommunikasjon mellom de fire første nodene i ARPANET

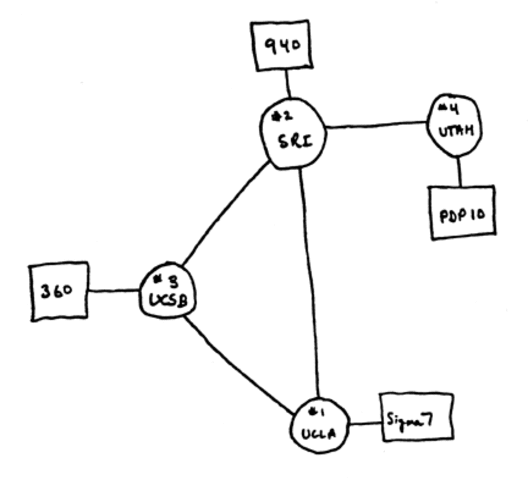
    Kommunikasjon mellom de fire første nodene i ARPANET ble etablert ved University of California Los Angeles (UCLA), Stanford Research Institute (SRI), University of California Santa Barbara og University of Utah. Remote login (Telnet) var første anvendelse.
  • Elektronisk post

    Elektronisk post

    Elektronisk post ble introdusert på ARPANET. @-tegnet ble introdusert som ”at” i e-post adressene.
  • ARPA starter programmet Internetting

    ARPA starter programmet Internetting

    ARPA starter programmet Internetting. Behov for å koble sammen flere nett basert på ulik teknologi (tele, radio, satellitt) skapte et behov for en overliggende nettverksarkitektur (open-architecture networking). Utviklingen av TCP/IP ble startet.
  • første internasjonale forbindelsene

    Første internationale forbindelse til ARPANET: NORSAR i Norge og University College of London. Forbindelsen gikk via satellitt. NORSAR hadde allerede i 1970 overført seismiske data til USA via satellitt, og fikk i oppdrag å etablere de første internasjonale forbindelsene til ARPANET. Flere norske forskningsmiljøer knyttet seg etterhvert til denne forbindelsen
  • Første versjon av TCP/IP

    Første versjon av TCP/IP (Transfer Control Protocol/Internet Protocoll) ble definert av Robert E. Kahn, ARPA og Vincent G. Cerf, Stanford . Dette er basisprotokollene i dagens Internett. Den ble spesifisert med 32 bits adresser som fortsatt er gjeldende – en hodepine idag med Internetts enorme utbredelse
  • gikk over Radio Packet Network til BBN

    Den første demonstrasjonen av trippel nettverk Internett basert på TCP/IP. Kommunikasjon over ARPANET, SATNET (satellitt) og mobilt Radio Packet Network ble demonstrert. Kommunikasjon fra en bil på San Francisco Bayshore Freeway gikk over Radio Packet Network til BBN, videre over ARPANET til London med satellittlink til Norge (NORSAR) og kabel til London. Deretter videre over SATNET (Atlantic Packet Satellite Network) til ARPANET i USA og gjennom ARPANET til USC Information Sciences Institute. I
  • ARPA etablerer Internet Configuration Control Board (ICCB)

    ARPA etablerer Internet Configuration Control Board (ICCB)

    ARPA etablerer Internet Configuration Control Board (ICCB)
  • TCP/IP ble adoptert som standard for det amerikanske forsvaret

    TCP/IP ble adoptert som standard for det amerikanske forsvaret
  • Norge blir tilkoblet ARPANET

    Norge blir tilkoblet ARPANET
  • ARPA sponset University of Berkeley

    ARPA sponset University of Berkeley for å legge TCP/IP inn i deres UNIX variant. Berkeley UNIX var utbredt ved en rekke universiteter i USA, og gjorde det enkelt å ta ibruk TCP/IP.
  • som 113 universiteter og forskningsmiljøer da var tilkoblet

    ARPANET, som 113 universiteter og forskningsmiljøer da var tilkoblet, ble konvertert fra den opprinnelige protokollen NCP til TCP/IP. Dette ble nøye planlagt over flere år. ARPANET ble splittet i ARPANET og MILNET (forsvarsrelatert forskingsnett)
  • Britiske JANET besluttet å benytte TCP/IP

    Britiske JANET besluttet å benytte TCP/IP i sitt forskningsnett som skulle dekke alle høyere undervisningsinstitusjoner i Storbritannia. Dette var en viktig milepæl for utbredelsen i Europa
  • Domain Name System (DNS) introdusert

    Domain Name System (DNS) introdusert. DNS er en distribuert Internett katalogtjeneste som oversetter domenenavn til IP-adresser.
  • TCP/IP i NSFNET

    TCP/IP i NSFNET

    U.S. National Science Foundation (NSF) besluttet å benytte TCP/IP i NSFNET som skulle dekke alle høyere utdanningsinstitusjoner i USA. $200 millioner ble brukt i perioden 1986-1995 for utbygging av NSFNET. En rekke andre land knytter seg etterhvert til NSFNET som blir ryggraden i Internett. Også kommersiell virksomhet tillates tilknyttet.
  • Første Interop utstilling ble holdt

    Første Interop utstilling ble holdt. 50 bedrifter viste at deres produkter kunne spille sammen vha. TCP/IP. Dette var en viktig milepæl for den kommersielle utbredelsen av Internett.
  • ARPANET nedlagt. De fleste nodene er flyttet til NSFNET.

    ARPANET nedlagt. De fleste nodene er flyttet til NSFNET.
  • Første kommersielle Internett aksess

    Første kommersielle Internett aksess leverandør (world.std.com). Tilbyr oppringt samband til Internett.
  • World Wide Web lanseres

    World Wide Web lanseres av engelskmannen Tim Berners-Lee, CERN (det europeiske laboratorium for partikkelfysikk). HTML (HyperText Markup Language), HTTP (HyperText Transfer Protocol) og URL (Universal Resource Locator) var definert og en nettleser utviklet. Drømmen bak Web var å skape et globalt informasjonsrom på Internett hvor hypertekstlinker gjør det enkelt å finne informasjon overalt på nettet. HTML var basert på SGML og beregnet på å definere struktur i form av kapitler, underkapitler og
  • Nettleseren Mosaic ble utviklet

    Nettleseren Mosaic ble utviklet av Marc Andresen og Eric Bina ved National Center for Supercomputing Applications ved University of Illinois at Urbana-Champaign. Denne ble den mest populære nettleseren. De fleste kommersielle nettlesere (inklusive Internett Explorer og Netscape Navigator) er basert på NCSA Mosaic. Dette er årsaken til at mange tror Web ble oppfunnet av NCSA.
  • Mosaic tar Internet med storm

    Mosaic tar Internet med storm; WWW-trafikken øker med 341 000% på ett år.
  • Internet Talk Radio begynner kringkasting.

    Internet Talk Radio begynner kringkasting.
  • Netscape lanserer Navigator

    Netscape lanserer Navigator

    Netscape lanserer Navigator, den første kommersielle nettleseren.
  • Første nettbutikker kommer på nettet

    Første nettbutikker kommer på nettet
  • First Virtual, den første nettbanken, åpner.

    First Virtual, den første nettbanken, åpner.
  • World Wide Web Consortium (W3C) blir dannet

    World Wide Web Consortium (W3C) blir dannet

    World Wide Web Consortium (W3C) blir dannet. Dette er et åpent forum hvor bedrifter og organisasjoner kommer sammen for å enes om nye standarder for Web. W3C ledes av Tim Berners-Lee, oppfinneren av World Wide Web.
  • NSFNET går tilbake til å bli et rent forskningsnett.

    NSFNET går tilbake til å bli et rent forskningsnett. Kommersiell Internett trafikk er overtatt av sammenkoblede nettverksleverandører.
  • Sun lanserer JAVA

    Sun lanserer JAVA. Java er et generelt programmeringsspråk som er helt maskinuavhengig og beregnet for bruk over Internett. Java gjør det mulig å utvikle programmer som kan lastes ned fra Internett og kjøres på en hvilken som helst maskin uansett operativsystem. JAVA programmer kjøres gjerne fra en nettleser.
  • Microsoft lanserer Internett Explorer

    Microsoft lanserer Internett Explorer

    Microsoft lanserer Internett Explorer og leverer det som en del av Windows. Dette medfører at alle PCer med Windows (og det er de fleste), lett får tilgang til Web.
  • Søkemotorer kommer.

    Søkemotorer kommer. De mest kjente er WebCrawler, Hotbot, Excite, Infoseek og AltaVista.
  • IP versjon 6

    IP versjon 6

    IPv6 er etterfølgeren til IPv4 . Hovedgrunnen for å utvikle en ny standard var å håndtere mangelen på IP-adresser. Adressene er økt fra 32 til 128 bit hvilket gir 2128 (ca 3.4×1038) adresser. Samtidig er flere mangler ved IPv4 utbedret. Seks av verdens 13 root-servere (aug 2008) som holder Internett er til nå oppgradert for å støtte IPv6. Utfordringen med IPv6 er at den ikke er kompatibel med IPv4. For å benytte IPv6, må både avsendermaskin, mottakermaskin og alle mellomliggende routere håndtere
  • Web passerer én milliard web-sider

    Web passerer én milliard web-sider. Suksessen er et faktum. Lickliders visjon har gått i oppfyllelse – i allfall på jorden.
  • Facebook

    Facebook

    Nettstedet ble startet av Mark Zuckerberg, med hjelp fra Andrew McCollum og Eduardo Saverin, den 4. februar 2004 under navnet «The Facebook». Zuckerberg var student ved Harvard University, og nettstedet var ment som et internt nettverk for universitetstudenter. De ville lage et verktøy som skulle gjøre det lettere for studenter å holde kontakten med hverandre.[4] Ordet Facebook stammer fra skolekataloger i USA, som deles ut til nye studenter på høgskoler og universiteter.
  • Lansering Twitter

    Lansering Twitter

    Twitter begynte som et forsknings- og utviklingsprosjekt hos selskapet Obvious i San Francisco i mars 2006 og ble først kun benyttet innad i selskapet. Det ble lansert for allmennheten i oktober 2006.[3] Twitter bruker språkplattformer på engelsk og japansk;
  • betaversjon av Google Chrome

    betaversjon av Google Chrome

    Google Chrome er nettleser utviklet av Google, basert på WebKit-motoren. Google ga ut store deler av kildekoden som åpen kildekode, inkludert JavaScript-motoren V8, i prosjektet Chromium. Den ble først utgitt i en betaversjon 2. september 2008. Den første stabile versjonen kom 11. desember 2008. .[1]

Want to make a timeline like this?

Use Timetoast to turn dates, events, milestones, and phases into a clear visual timeline you can build and share. Timetoast is a timeline maker for work, school, research, and stories.