Descarga (14)

HISTORIA Y EVOLUCION DEL INTERNET

  • ARPA

    ARPA

    Nace ARPA (Advanced Research Projects Agency) la creó el departamento de defensa norteamericano en 1958, para aplicar la
    tecnologÌa al ambito militar en respuesta al satelite enviado por la URSS
  • ARPANET

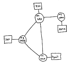
    ARPANET

    en 1969 se estableció ARPANET, la primera
    red sin nodos centrales, de la que formaban parte cuatro universidades estadounidenses. La primera
    transmisión tuvo lugar el 29 de octubre de 1969, entre
    UCLA y SRI.
  • MILNET

    MILNET

    el ministerio de Defensa USA consideró oportuno abandonar ARPANET y establecer una red independiente bajo su control absoluto(MILNET). De los 113 nodos que conformaban ARPANET en ese momento, 68 pasaron a la nueva red militar; a los restantes, se fueron uniendo cada vez más centros de todo el mundo.
  • HTML

    HTML

    Licenciado en la Universidad de Oxford, Berners Lee trabajo en el CERN, en octubre de 1990 emprendió la elaboración del HTML6, que permite combinar texto, imágenes y establecer enlaces a
    otros documentos.
  • NETSCAPE

    NETSCAPE

    En 1994 la empresa Netscape lanzó su navegador,
    tomando como base Mosaic, y al año siguiente ya
    dominaba más del 80% del mercado.
  • YAHOO primer buscador

    YAHOO primer buscador

    Nace Yahoo! en 1994 por los estudiantes David Filo y Jerry Yang de la universidad de Stanford que se les ocurrió la idea de juntar varios links por bloques y publicaron este catalogo de direcciones y crearon este buscador
  • WWW

    WWW

    Berners-Lee abandono el CERN en 1994 y fundó World Wide Web Consorcio (W3C) en el MIT. Una entidad que coordina el desarrollo de la Red. Su Web esta en: http://www.w3.org/
  • INTERNET EXPLORER

    INTERNET EXPLORER

    Hasta 1995 Microsoft no lanzó la primera versión de su propio navegador, Internet Explorer. Técnicamente estaba muy por detrás de Navegador Netscape pero tenía una particularidad que lo hacía muy atractivo era gratuito
  • EXPLORER MAXIMO NAVEGADOR DEL SIGLO XX

    EXPLORER MAXIMO NAVEGADOR DEL SIGLO XX

    en 1998 Microsoft ya alcanzó su objetivo de sobrepasar a Navigator Netscape y, en la actualidad, Internet Explorer es el browser por excelencia hasta años siguientes.
  • Google destrona a Yahoo!

    Google destrona a Yahoo!

    Google en 1998 crea su motor de búsqueda con la diferencia que implementa el page Rank de tal manera que las búsqueda se dan en orden de importancia

Plan projects on a visual timeline

Map milestones, phases, deadlines, and key events in one place so the sequence is easier to see and share. Timetoast is a timeline maker for work, school, research, and stories.