Historia y Evolución del Internet

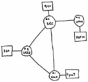
  • Diagrama original de la primera red sin nodos centrales

    Diagrama original de la primera red sin nodos centrales

    en 1969 se estableciÛ ARPANET2, la primera red sin nodos centrales, de la que formaban parte cua- tro universidades estadounidenses: Universidad de California Los Angeles (UCLA), Universidad de Cali- fornia Santa Barbara (UCSB), Universidad de Utah y Stanford Research Institute (SRI) (figura 1). La primera transmisiÛn tuvo lugar el 29 de octubre de 1969, entre UCLA y SRI.
  • ARPANET

    ARPANET

    ARPANET fue una red de computadoras creada por encargo del Departamento de Defensa de los Estados Unidos para utilizarla como medio de comunicación entre las diferentes instituciones académicas y estatales. El primer nodo fue creado en la Universidad de California en Los Ángeles, y fue la espina dorsal de Internet hasta 1990, tras finalizar la transición al modelo de protocolos TCP/IP, iniciada en 1983
  • Web con Netscape

    Web con Netscape

    En 1994 la empresa Netscape lanzó su navegador, tomando como base Mosaico, y al paso siguiente ya dominaba mas del 80% del mercado.
  • Nacimiento del Internet

    Nacimiento del Internet

    el nacimiento del internet se dio Nada mas terminar la II Guerra Mundial, las dos superpotencias, Estados Unidos y la antigua UniÛn SoviÈtica, dejaron de ser aliadas y se enzarzaron en la llamada la guerra fría , que no finalizÛ hasta la caÌda del muro de BerlÌn (9-XI-1989).
  • Tim Berners-Lee

    Tim Berners-Lee

    Licenciado en la Universidad de Oxford, Berners- Lee trabajo en el CERN (Laboratorio Europeo de Física de las partículas) y, en los ochenta, comenzó a diseñar un programa, Enquirer, que permitiera almacenar y recuperar información mediante asociaciones no
    deterministas
  • EL SOFTWARE PARA NAVEGAR

    EL SOFTWARE PARA NAVEGAR

    cualquiera de las paginas Web que visualizamos al navegar por Internet es un documento HTML almacenado en un servidor, que esta conectado a la WWW. Así se puede ver el código de la pagina inicial de mi Web, tal y como lo muestra FrontPage.
  • Filo y Yang

    Filo y Yang

    en abril de 1994 como un pasatiempo juvenil. Dos estudiantes de ingeniería eléctrica en la Universidad de Stanford, David Filo y Jerry Yang (figura 11), pasaban su tiempo libre navegando por Internet y, para organizarse un poco, fueron archivando las direcciones que mas les gustaban, agrupándolas por temas.
  • Yahoo!

    Yahoo!

    Yahoo! consiguió tal Éxito, que debió mudarse de lugar, porque casi colapsaba el servidor de la universidad de Stanford. A finales recibía casi el millón de visitas diarias y, como para poder seguir progresando necesitaban invertir dinero, en 1995

Plan projects on a visual timeline

Map milestones, phases, deadlines, and key events in one place so the sequence is easier to see and share. Timetoast is a timeline maker for work, school, research, and stories.