-
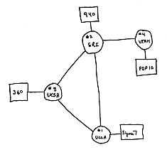
En 1969 es el año en el que nació Internet. Así, en 1969 se estableció ARPANET, la primera
red sin nodos centrales, de la que formaban parte cuatro
universidades estadounidenses: Universidad de
California Los Angeles (UCLA), Universidad de California
Santa Barbara (UCSB), Universidad de Utah y
Stanford Research Institute (SRI). La primera
transmisión tuvo lugar el 29 de octubre de 1969, entre
UCLA y SRI. -
Al percatarse de las ventajas que conllevaba la
interconexión, se fueron incorporando diversas universidades
e instituciones; así, en 1971 ya había 15
nodos y, en 1973, ARPANET se internacionalizó, con
la incorporación de la Universidad College of London
(Gran Bretaña) y NORSAR (Norwegian Seismic Array,
Noruega). -
El primer programa para enviar correo electrónico es muy anterior a WWW. Se trata de SNDMSG y lo creó el ingeniero Ray Tomlinson, en 1971, para enviar mensajes entre ordenadores22 que,
¡oh sorpresa!, formaban parte de ARPANET. -
Parece ser que la primera persona que propuso utilizar
un smiley en los mensajes de correo fue un tal
Kevin MacKenzie, que el 12 de abril de 1979 sugirió en
MsgGroup (una especie de grupo de noticias de la
época) que se emplease la combinación :-) para denotar
una sonrisa Y como la palabra inglesa smiley significa
risueño, de ahí, surgió el término. -
En 1982, ARPA declaró como estándar el protocolo
TCP/IP (Transfer Control Procotol/Internet Protocol) y
es entonces cuando aparece la primera definición de
Internet: conjunto de internets conectadas mediante
TCP/IP... Y nadie negará que esta definición, aunque
correcta desde el punto de vista técnico, resulta bastante
críptica para el personal no especializado. -
Los emoticones sólo comenzaron a
popularizarse a partir de 1982, cuando Scott E. Fahlman29,
de la universidad de Carnegie Mellon (Pittsburg,
EEUU), sugirió el empleo de las expresiones :-) y
:-( para indicar alegría y seriedad, respectivamente (el
mensaje original sigue a continuación)... Si se le hubiera
ocurrido patentar el nuevo lenguaje, Fahlman sería
hoy archimillonario. -
En los ochenta, comenzó a diseñar un programa, Enquire, que permitiera almacenar y
recuperar información mediante asociaciones no deterministas.
Partiendo de ese programa, en octubre de
1990 emprendió la elaboración del HTML, que permite
combinar texto, imágenes y establecer enlaces a
otros documentos. También es creación suya el primer
servidor World Wide Web y el primer programa cliente
WorldWideWeb. -
En 1990 ARPANET dejó de existir... precisamente el año en que España se conectó a Internet. -
En 1994 la empresa Netscape lanzó su navegador,
tomando como base Mosaic, y al año siguiente ya
dominaba más del 80% del mercado. -
El 4 de julio de 1996, Bhatia y Smith pusieron su
servidor, al que llamaron Hotmail, en Internet y tres
horas después ya tenían más de 500 suscriptores (todo
mediante el boca a boca o, mejor dicho, cada nuevo
suscriptor avisaba a sus amigos). Durante seis meses,
Hotmail fue el único servidor en ofrecer correo Web,
tiempo que aprovechó para convertirse en el líder
indiscutible del mercado. -
Lo cierto es que en 1998 Microsoft ya alcanzó su objetivo de sobrepasar a Navigator Netscape y, en la actualidad, Internet Explorer es el browser por excelencia. -
En noviembre de 1998, AOL compró Netscape. -
En 1998 apareció un rival que, pocos
años después, arrebató a Yahoo! el primer puesto en la
clasificación de buscadores. Se trata de Google, creado
por dos estudiantes de doctorado de Stanford,
Larry Page y Sergey Brin. -
El 12 de abril de 1996, Yahoo! salió a Bolsa. Su
cotización inicial de 13 dólares por acción se convirtió
en 33 dólares al terminar la sesión y, en enero de
1999, su precio había alcanzado la friolera de 154
dólares. -
Aunque casi todos los países están tomando medidas
legales contra el spam, lo cierto es que, por el
momento, no han dado el fruto apetecido. Así, en abril
del 2003, el correo basura superó al correo legítimo.