Ecommerce vender internet

Historia y evolución de Internet

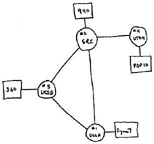
  • ARPANET

    ARPANET

    la primera red sin nodos centrales, de la que formaban parte cuatro universidades estadounidenses: Universidad de
    California Los Ángeles (UCLA), Universidad de California Santa Barbara (UCSB), Universidad de Utah y
    Stanford Research Institute (SRI) .
  • ARPANET en 1980

    ARPANET en 1980

    ya había 15 nodos3 y, en 1973, ARPANET se internacionalizó, con
    la incorporación de la Universidad College of London
    (Gran BretaÒa) y NORSAR (Norwegian Seismic Array,
    Noruega).
  • ARPA

    ARPA

    declaró como estándar el protocolo
    TCP/IP (Transfer Control Procotol/Internet Protocol) y
    es entonces cuando aparece la primera definición de
    Internet: conjunto de internets4 conectadas mediante
    TCP/IPÖ Y nadie negar· que esta definición, aunque
    correcta desde el punto de vista técnico, resulta bastante críptica para el personal no especializado.
  • El ministerio de Defensa USA

    El ministerio de Defensa USA

    consideró oportuno abandonar ARPANET y establecer una red independiente bajo su control absoluto (MILNET).
  • La elaboración del HTML

    La elaboración del HTML

    Que permite combinar texto, imágenes y establecer enlaces a
    otros documentos. También es creación suya el primer
    servidor World Wide Web y el primer programa cliente
    WorldWideWeb.
  • La empresa Netscape

    La empresa Netscape

    lanzó su navegador, tomando como base Mosaic, y al año siguiente ya dominaba mas del 80% del mercado
  • Yahoo!

    Yahoo!

    consiguió tal Éxito, que debió mudarse de lugar, porque casi colapsaba el servidor de la universidad de Stanford. A finales de año ya recibía casi el millón visitas diarias y, como para poder seguir progresando necesitaban invertir dinero, en 1995 cedieron el 25% de su empresa a Sequoia, a cambio de un millón de dólares. En 1997, Yahoo! se valoraba en tres mil millones de dólares.
  • Microsoft

    Microsoft

    no lanzó la primera versión de su propio navegador, Internet Explorer. Técnicamente estaba muy por detrás de Navegador Netscape pero tenía una particularidad que lo hacía muy atractivo: era gratuito!
  • Yahoo!

    Yahoo!

    salió a Bolsa. Su cotización inicial de 13 dólares por acción se convirtió en 33 dólares al terminar la sesión.
  • Microsoft

    Microsoft

    ya alcanzó su objetivo de sobrepasar a Navegador Netscape y, en la actualidad.

Plan projects on a visual timeline

Map milestones, phases, deadlines, and key events in one place so the sequence is easier to see and share. Timetoast is a timeline maker for work, school, research, and stories.