historia del internet

  • finales 60

    finales 60

    buscaban como comunicarse entre ellos
  • se estableció el aparnet

    se estableció el aparnet

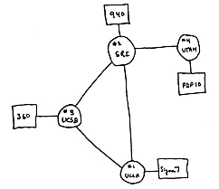
    se estableció aparnet la primera red con nodos centrales formaban parte 4 universidades
  • hay varias fechas del nacimiento del  internet

    hay varias fechas del nacimiento del internet

    hay varias fechas fijas el nacimiento del internet 1969, 1982, 1983
  • primera transmición

    primera transmición

    primera transmicion entre las universidades UCLA y SRI
  • ya habían nodos

    ya habían nodos

    ya habían nodos y en 1973 aparte se internacionalizo
  • apar declaro como estandar

    apar declaro como estandar

    apar declaro como estándar en el protocolo aparece definición del internet
  • los emoticones

    los emoticones

    los emoticones empezaron
  • ministerio de defensa estableció su propia red

    ministerio de defensa estableció su propia red

    ministerio de defensa usa considero oportuno y abandono aparnet y estableció su propia red
  • historia del internet

    historia del internet

    no había nacido el internet
  • segunda guerra fría

    segunda guerra fría

    no finalizo hasta la caída del muro se berlin
  • se emprendió la primera liveración del htmi

    se emprendió la primera liveración del htmi

    emprendió la primera liberaron del htmi permite cambiar texto e imágenes documentos en word
  • web 1.0

    web 1.0

    web 1.0 fue la primera en aparecer solo se trataba de información
  • es muy primitiva

    es muy primitiva

    es muy primitiva para lo que hoy ofrece la web
  • su preció alcanzó

    su preció alcanzó

    su precio alcanzó 20154 dolares
  • lanzo mosaic

    lanzo mosaic

    lanzo como base masaic
  • el internet empezó como un pasa timpos

    el internet empezó como un pasa timpos

    empezó como un pasa tiempos juvenil con dos estudiantes david filo y jerry yang
  • microsof hizo su primera versión

    microsof hizo su primera versión

    microsof lanzo su primera versión de su propio navegador
  • alcanzo su objetivo

    alcanzo su objetivo

    alcanzo su objetivo de sobre pasar a negativo netscape y en la primera actividad htemot
  • se acabo

    se acabo

    se acabo gran parte de empresa
  • el correo supero a...

    el correo supero a...

    el correo basura supero al correo legitimo
  • web 2.0

    web 2.0

    web 2.0 permitió compartir información
  • una segunda generación

    una segunda generación

    se refiere una segunda generación de tecnologia
  • tiene importantes concecuencias

    tiene importantes concecuencias

    tienen importantes consecuencias en los usos de red
  • web 3.0

    web 3.0

    web 3.0 permitió la búsqueda utilizando palabras claves
  • web 4.0

    web 4.0

    comparte un proyecto mas inteligente
  • se encuentra en comportamiento

    se encuentra en comportamiento

    se encuentra en un comportamiento mas inteligente
  • evolución de la tecnologia

    evolución de la tecnologia

    a la evolución empieza GOOGLE ETC desarrollaron nuevos sistemas
  • web

    web

    web es un conjunto de documentos

Want to make a timeline like this?

Use Timetoast to turn dates, events, milestones, and phases into a clear visual timeline you can build and share. Timetoast is a timeline maker for work, school, research, and stories.