75a97d87578d6705b95605300c161f2c

Historia del internet

  • ARPANET

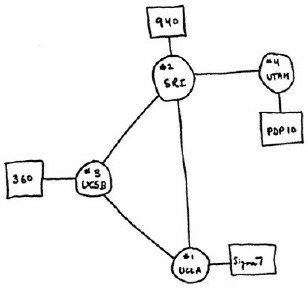
    ARPANET

    la primera red sin nodos centrales, de la que formaban parte cuatro universidades estadounidenses: Universidad de
    California Los Angeles (UCLA), Universidad de California Santa Barbara (UCSB), Universidad de Utah y Stanford Research Institute (SRI)
  • SNDMSG

    SNDMSG

    Sin embargo, el primer programa para enviar
    correo electrónico es muy anterior a WWW. Se trata de
    SNDMSG y lo creo el ingeniero Ray Tomlinson, para enviar mensajes entre ordenadores que, oh sorpresa!, formaban parte de ARPANET.
  • ARPANET se internacionalizo

    ARPANET se internacionalizo

    se internacionalizo , con la incorporación de la Universidad College of London (Gran Bretaña) y NORSAR (Norwegian Seismic Array, Noruega).
  • Smiley

    Smiley

    Sugirió en MsgGroup (una especie de grupo de noticias de la
    Época) que se emplease la combinación :-) para denotar una sonrisa
  • ARPA- TCP/IP

    ARPA- TCP/IP

    ARPANET declaro como estándar el protocolo TCP/IP (Transfer Control Procotol/Internet Protocol) y es entonces cuando aparece la primera definición de Internet: conjunto de internets conectadas mediante TCP/IP
  • MILNET

    MILNET

    El ministerio de Defensa USA considero oportuno abandonar ARPANET y establecer una red independiente bajo su control absoluto (MILNET).
  • Elaboración del HTML

    Elaboración del HTML

    Emprendió la elaboración del HTML, que permite combinar texto, imágenes y establecer enlaces a otros documentos. También es creación suya el primer servidor World Wide Web y el primer programa cliente WorldWideWeb
  • Netscape

    Netscape

    La empresa Netscape lanzo su navegador,
    tomando como base Mosaic, y al año siguiente ya
    dominaba mas del 80% del mercado
  • Yahoo!

    Yahoo!

    Dos estudiantes de Ingeniería Eléctrica en la Universidad de Stanford, David Filo y Jerry Yang, pasaban su tiempo libre navegando por Internet, fueron archivando las direcciones que mas les gustaban, agrupándolas por temas.
    El siguiente paso que dieron, publicaron su catalogo de direcciones en Internet, para que cualquier persona pudiese consultarlo gratuitamente. Así nació Yahoo!
  • Hotmail

    Hotmail

    Bhatia y Smith pusieron su servidor, al que llamaron Hotmail, en Internet y tres horas después ya tenían mas de 500 suscriptores. Durante seis meses, Hotmail fue el único servidor en ofrecer correo Web, tiempo que aprovechó para convertirse en el líder
    indiscutible del mercado
  • Microsoft

    Microsoft

    Microsoft ya alcanzo su objetivo de sobrepasar a Navegador Netscape y, en la actualidad, Internet Explorer es el browser por excelencia
  • Google

    Google

    En 1998 apareció un rival que, pocos años después, arrebato a Yahoo! el primer puesto en la clasificación de buscadores. Se trata de Google, creado por dos estudiantes de doctorado de Stanford, Larry Page y Sergey Brin. A pesar de ser un
    motor de búsqueda, utiliza una nueva tecnología
    (PageRank), para clasificar las páginas Web en función
    de su importancia. Esa ha sido la razón de su apoteósico éxito, que le ha llevado a responder mas de doscientos millones de consultas diariamente.

A list shows items. A timeline shows sequence.

Use Timetoast to make dates, milestones, and turning points easier to understand in a clear visual format. Timetoast is a timeline maker for work, school, research, and stories.