1

Historia del internet

  • Creación de la agencia ARPA

    Creación de la agencia ARPA

    ARPA es una agencia de nombre Agencia de Proyectos de Investigacion Avanzada, creada después del lanzamiento de satelite ruso Sputnik.
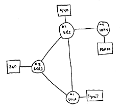
  • ARPANET

    ARPANET

    Creación de la primera red sin nodos centrales, conformada por cuatro Universidades estadounidenses.
  • SNDMSG

    SNDMSG

    Este fue el primer correo electrónico que se desarrolló anterior a la www, creado por el ingeniero Ray Tomlinson, también se le debe a Tomlinson el uso común de la @.
  • Protocolo TCP/IP

    Protocolo TCP/IP

    Se establece por ARPA, el protocolo TCP/IP como el estándar y se da la primera definición de intenet; conjunto de internets (redes interconectadas).
  • MILNET

    MILNET

    En este año, el ministerio de defensa de EU decidió dejar de ocupar ARPANET y creo su propia red de nombre MILNET
  • Lenguaje HTML

    Lenguaje HTML

    El británico Tim Berners Lee desarollo el lenguaje HTML, el cual permite la elaboración de páginas web.
  • World Wide Web

    World Wide Web

    Se le debe al licenciado en la Universidad de Oxford; BernersLee, el desarrollo de esta que fue desarrollado en el CERN (Laboratorio Europeo de Física de las Partículas).
  • Netscape

    Netscape

    En este año Netscape lanzó su propio navegador, logrando conseguir en un año más del 80% del mercado.
  • Yahoo!

    Yahoo!

    Este fue desatollado por dos estudiantes de ingeniería eléctrica;David Filo y Jerry Yang. Logrando bastante popularidad y éxito y consiguiendo que Yahoo! alcanzara un valor de 3 mil millones de dólares.
  • Hotmail

    Hotmail

    Este fue desarrollado por dos personas; Sabeer Bhatia y Jack Smith, los cuales lograron dar forma a Hotmail, logrando este convertirse en el líder del mercado.
  • Google

    Google

    En este año dos estudiantes de doctorado de Standford; Larry Page y Sergey Brin, implementaron una nueva tecnología PageRank para clasificar de mejor manera las paginas web, quitandole a Yahoo! el primer puesto como el mejor buscador.

Want to make a timeline like this?

Use Timetoast to turn dates, events, milestones, and phases into a clear visual timeline you can build and share. Timetoast is a timeline maker for work, school, research, and stories.