Imagem h

Historia da internet

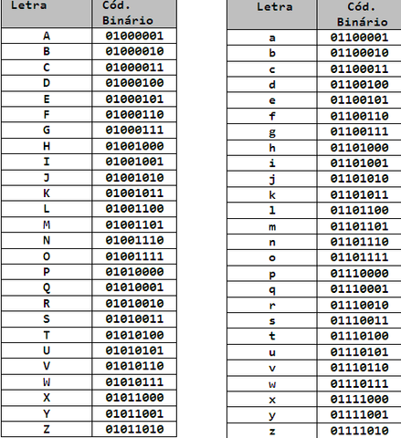
  • Alfabeto binário

    Alfabeto binário

    O sistema binário ou de base 2 é um sistema de numeração posicional em que todas as quantidades se representam com base em dois números, ou seja, zero e um (0 e 1).
    (pt.wikipedia.org/wiki/Sistema_de_numeração_binário)
  • Criação do ENIAC

    Criação do ENIAC

    Electronic Numerical Integrator and Computer (ENIAC - em português: computador integrador numérico eletrônico) foi o primeiro computador digital eletrônico de grande escala. Muitos comentam que o primeiro foi o Mark I, mas este era apenas eletromecânico. O ENIAC entrou em funcionamento em fevereiro de 1946[1][2] pelas mãos dos cientistas norte-americanos John Eckert e John Mauchly, da Electronic Control Company
    (https://pt.wikipedia.org/wiki/ENIAC)
  • Primeira transmição de mensagem por telégrafo

    Primeira transmição de mensagem por telégrafo

    Em 1844 é feita a primeira transmissão de mensagens por telégrafo. Patenteado por Samuel Morse, o telégrafo transmitia mensagens de um ponto para o outro, através de grandes distâncias. O principal código utilizado pelos telégrafos foi o código Morse, que surgiu com a criação do telégrafo na década de 30.
    (https://gru5po.wordpress.com/2016/06/29/em-1844-e-feita-a-primeira-transmissao-de-mensagens-por-telegrafo/)
  • Desenvolvimento da transmissão de dados por poacotes

    Desenvolvimento da transmissão de dados por poacotes

    No contexto de redes de computadores, a comutação de pacotes é um paradigma de comunicação de dados em que pacotes são individualmente encaminhados entre nós da rede através de ligações de dados tipicamente partilhadas por outros nós. Este contrasta com o paradigma rival a comutação de circuitos, que estabelece uma ligação virtual entre ambos nós para seu uso dedicado durante a transmissão
    (https://pt.wikipedia.org/wiki/Comuta%C3%A7%C3%A3o_de_pacotes)
  • O termo Internet é utilizado pela primeira vez

    O termo Internet é utilizado pela primeira vez

    Referenciado como um dos fundadores da Internet, foi em 2005 vice-presidente e "Chief Internet-Evangelist" da Google. Na época de sua contratação, o executivo-chefe da empresa, Eric Schmidt, chegou a dizer que Vinton Cerf era uma das pessoas mais importantes da história ainda vivas.Junto a Robert Kahn, é um dos criadores da Internet, tendo participado da criação dos protocolos TCP/IP, que são o alicerce da conexão à rede.
    (https://pt.wikipedia.org/wiki/Internet)
  • Primeiro vírus de computador

    Primeiro vírus de computador

    O primeiro vírus para computadores comemora em 2011 seu aniversário de 40 anos. O The Creeper, criado por Bob Thomas, fez sua estreia em 1971 no PDP-10, um computador de grande porte. O aplicativo invadia a máquina e apenas apresentava no monitor a mensagem "Im the creeper, catch me if you can!" . Com o recado entregue, o vírus saltava para outro sistema e repetia a mensagem mais uma vez.
    (https://pt.wikipedia.org/wiki/V%C3%ADrus_de_computador)
  • Lançamento  o PC da IBM

    Lançamento o PC da IBM

    O IBM PC foi a versão original e progenitor da plataforma de hardware dos "IBM PC compatíveis". Lançado em 12 de Agosto de 1981, o modelo original recebeu a denominação IBM 5150. Seu desenvolvimento ficou a cargo de uma equipe de doze engenheiros e projetistas sob a direção de Don Estridge da IBM Entry Systems Division em Boca Raton, Flórida. A expressão "Personal Computer" era de uso comum antes de 1981, e foi usada em 1972 para caracterizar o Alto do Xerox PARC.
  • Criação do protocolo de transmição TCI/IP

    Criação do protocolo de transmição TCI/IP

    O TCP/IP é um conjunto de protocolos de comunicação entre computadores em rede. Seu nome vem de dois protocolos: o TCP e o IP . O conjunto de protocolos pode ser visto como um modelo de camadas (Modelo OSI), onde cada camada é responsável por um grupo de tarefas, fornecendo um conjunto de serviços bem definidos para o protocolo da camada superior.
    (https://pt.wikipedia.org/wiki/TCP/IP)
  • Empresa de DEC envia  399 emails para funcionários da Arpanet.Nasce o SPAM

    Empresa de DEC envia 399 emails para funcionários da Arpanet.Nasce o SPAM

    ARPANET, em inglês de Advanced Research Projects Agency Network (ARPANET) do Departamento de Defesa dos Estados Unidos, foi a primeira rede operacional de computadores à base de comutação de pacotes, e o precursor da Internet foi criada só para fins militares.
    (https://pt.wikipedia.org/wiki/ARPANET)
  • World Wide Web

    World Wide Web

    A rede mundial de computadores (em inglês: World Wide Web), também conhecida pelos termos em inglês web e WWW,[1][2][3][4] é um sistema de documentos em hipermídia (hipermédia) que são interligados e executados na Internet
    (https://pt.wikipedia.org/wiki/World_Wide_Web)

Want to make a timeline like this?

Use Timetoast to turn dates, events, milestones, and phases into a clear visual timeline you can build and share. Timetoast is a timeline maker for work, school, research, and stories.