Images

GENERACIONES DE LAS COMPUTADORAS

  • Period: to

    PRIMERA GENERACIÓN

    Las computadoras de ésta generación se caracterizaron por estar integradas de reveladores electromecánicos o de tubos de vacío. Eran de un gran tamaño que ocupaban espciosos salones en las Universidades por lo que recibieron el nombre de macrocomputadoras. Su capacidad de almacenamiento era muy reducida.
  • ENIAC

    ENIAC

    El ejército Norteamericano colaboraba con la Universidad de Pensilvania en la construcción de la computadora ENIAC (Electronic Numerical Integrator and Calculator) que incluía 18,000 tubos de vacío y su velocidad de procesamiento permitía efectuar alrededor de 500 multiplicaciones por segundo
  • EDVAC

    EDVAC

    Para la creación de la EDVAC (Electronic Discret Variable Automatic Computer) participaron John Presper Eckert, John William Mauchly y John Von Neuman. Además de ser binaria, incluyó el primer programa diseñado para ser almacenado en una memoria
  • UNIVAC

    UNIVAC

    J. Presper Eckert y John Mauchly desarrollan la UNIVAC (Universal Automatic Computer) de la cual se vendieron 46 unidades. Fue construida por la división Univac de Remington Rand, empress sucesora de la Eckert-Mauchly Computer Corporation.
  • Diseño de TRADIC

    Diseño de TRADIC

    Jean H. Felker y James R. Harris diseñaron la primer computadora totalmente transistorizada llamada TRADIC (Transistorized Airbone Digital Computer) que contenía unos 800 transistores en lugar de tubos de vacío. El uso de transistores reduce enormemente el tamaño, el calentamiento y el consumo de energía.
  • Period: to

    SEGUNDA GENERACIÓN

    La característica principal es la inclusión de transistores. Siguen dominando los sistemas de tarjeta o cinta perforada para la entrada de datos.
  • FORTRAN

    FORTRAN

    Desarrollo del primer lenguaje de programación de alto nivel, el FORTRAN (Formula Translator) por John Backus y algunos de sus colaboradores, empleados de IBM.
  • Murray Hopper desarrolla FLOW-MATIC

    Murray Hopper desarrolla FLOW-MATIC

    En 1957 Murray Hopper desarrolló el sistema B-0 (Flow-Matic) el primer compilador con comandos en inglés, utilizado en el cálculo de nóminas.
  • Desarrollo del lenguaje LISP

    Desarrollo del lenguaje LISP

    John McCarthy desarrolló el lenguaje LISP que aporta grandes avances sobre la inteligencia artificial.
  • COBOL

    COBOL

    Entre 1959 y 1960 nace uno de los más asombrosos descubrimeintos en el ámbito del Software, el lenguaje de programación COBOL (Comman Bussiness Oriented Language).
  • Lenguaje Basic

    Lenguaje Basic

    Nace el lenguaje Basic desarrollado por Thomas Eugene Kurtz y John George Kemeny.
  • Period: to

    TERCERA GENERACIÓN

    La inclusión a gran escala de transistores en microcircuitos llamados procesadores o circuitos integrados monolíticos, así como la proliferación de lenguajes de alto nivel y la introducción de programas, denominados sistemas operativos.
  • IBM 360

    IBM 360

    IBM presenta la minicomputadora IBM 360 con su tecnología SLT (Solid Logic Technology). Causó tal impacto en el mundo de la computación que se fabricaron más de 30, 000. Los medios de almacenamiento eran las cintas magnéticas de 9 canales y enormes discos rígidos.
  • CDC 6600

    CDC 6600

    Seymour Cray introduce la CDC 6600 la computadora que se consideró durante algunos años como la más rápida. Podía realizar más de 3 millones de instrucciones por segundo.
  • PDP-8

    PDP-8

    Nace la computadora PDP-8 de Digital Equipment Corporation
  • Primer lenguaje de programación a objetos simula

    Primer lenguaje de programación a objetos simula

    Primer lenguaje de programación orientado a objetos Simula, escrito por Kristen Nygaard y Ole John Dahl.
  • Lenguaje de computación LOGO

    Lenguaje de computación LOGO

    Seymourt Papert diseña el lenguaje de computación educativo para niños llamado LOGO.
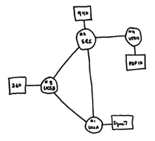
  • DARPANET

    DARPANET

    Creación de los primeros cuatro nodos de la red DARPANET que tiempo después sería Internet.
  • Serie IBM 370

    Serie IBM 370

    IBM de su serie 370 produce los modelos 3031, 3033 y 4341.
  • Period: to

    CUARTA GENERACIÓN

    El año de 1971 es la fecha en la cual de manera inobjetable todos están de acuerdo: es el final de la tercera generación e inicio de la cuarta, marcado claramente por la aparición del primer microprocesador.
  • Primer microprocesador

    Primer microprocesador

    Intel Corporation, que era una pequeña compañía fabricante de semiconductores ubicada en Sillicon Valley, presenta el primer microprocesador de 4 bits, fue bautizado como el 4004
  • Correo electrónico

    Correo electrónico

    Ray Tomlinson envió el primer mensaje de correo electrónico utilizando una dirección de correo separada por el signo @ a través de la red ARPANET.
  • Primer mouse

    Primer mouse

    Se fabricó el primer ratón electrónico Mouse
  • Creación de Microsoft

    Creación de Microsoft

    William Henry Gates y Paul Allen fundan Microsoft en la ciudad de Albuquerque, Nuevo México.
  • Apple

    Apple

    Steve Wozniak y Steve Jobs inventan la primer microcomputadora de uso masivo y más tarde forman la compañía Apple.
  • Microcomputadoras

    Microcomputadoras

    Aparecen las primeras microcomputadoras, como la Commodore PET, la Apple II y la Tandy TRS-80.
  • PC de IBM

    PC de IBM

    IBM se integra al mercado de las microcomputadoras con su Persona Computer (PC).
  • MS-DOS

    MS-DOS

    Se incluye un sistema operativo estandarizado, el MS-DOS (Microsoft Disk Operating System), diseñado por Bill Gates, en la incipiente compañía de Software de ese tiempo, Microsoft.
  • Period: to

    QUINTA GENERACIÓN

    Muchos proponen que el inicio de la quinta generación se da a partir de 1982. Donde se detectan grandes avances tecnológicos.
  • Supercomputadora paralela

    Supercomputadora paralela

    Creación de la primer supercomputadora con capacidad de proceso paralelo diseñada por Seymour Cray.
  • Programa de la quinta generación de computadoras

    Programa de la quinta generación de computadoras

    Japón lanza el llamado "Programa de la quinta generación de computadoras" con los objetivos explícitos de producir máquinas con innovaciones reales.
  • CD-ROM

    CD-ROM

    Introducción del CD-ROM a mediados de los años 90 había uno incorporado en casi todas las computadoras de escritorio.
  • Usb y reproductor DVD

    Usb y reproductor DVD

    USB y reproductores DVD para fácil conectividad Plug and Play.
  • Unidad ZIP

    Unidad ZIP

    Unidad ZIP. Dispositivo o periférico de almacenamiento, introducido en el mercado por la empresa Lomega en 1994.

Looking for a timeline maker?

Create timelines for projects, roadmaps, history, lessons, legal cases, and stories with Timetoast. Timetoast is a timeline maker for work, school, research, and stories.