Segundagen

Generaciones de Computadoras

By yebrix
  • Von Neumann sugiere el sistema binario en ordenadores.

    Von Neumann sugiere el sistema binario en ordenadores.

    En 1945 Von Neumann sugirió que el sistema binario fuera adoptado en todos los ordenadores, y que las instrucciones y datos fueran compilados y almacenados internamente en el ordenador, en la secuencia correcta de utilización. Estas sugerencias sirvieron de base filosófica para los proyectos de ordenadores.
  • Period: to

    Primera Generación de Computadoras

  • Se inaugura la ENIAC.

    Se inaugura la ENIAC.

    J.P. Eckert y John Mauchly, de la Universidad de Pensilvania, inauguraron el ENIAC, Eletronic Numerical Interpreter and Calculator, o sea, "Computadora e Integrador Numérico Electrónico". Era un nuevo ordenador proyectado para fines militares, por el Departamento de Material de Guerra del Ejército de los EUA. Era la primer computadora digital electrónica en gran escala.
  • Se inventa el TRANSISTOR.

    Se inventa el TRANSISTOR.

    En 1947, John Bardeen, William Shockley y Walter Brattain inventan el TRANSISTOR. El transistor es un dispositivo electrónico semiconductor utilizado para entregar una señal de salida en respuesta a una señal de entrada.
  • Es construida la EDSAC.

    Es construida la EDSAC.

    Wilkes construyó el EDSAC, Electronic Delay Storage Automatic Calculator, en 1949, que funcionaba según la técnica de programas almacenados.
  • Proyecto BINAC.

    Proyecto BINAC.

    Se intentó construir una máquina comercial electrónica de procesamiento de datos con la BINAC, un ordenador automático binario, que era compacto (1,40 x 1,60 x 0,30 m) lo suficiente para ser llevado a bordo de un avión, pero que nunca funcionó.
  • Ordenador WHIRLWIND

    Ordenador WHIRLWIND

    Entre 1945 y 1951, se construye el WHIRLWIND, del MIT, que fue el primer ordenador que procesaba información en tiempo real, con entrada de datos a partir de cintas perforadas y salida en CRT (monitor de vídeo), o en la Flexowriter, una especie de máquina de escribir (Whirlwind quiere decir remolino).
  • Primer computadora destinada a los negocios.

    Primer computadora destinada a los negocios.

    Leo I (Lyons Electronic Office I), una computadora británica, se convirtió en la primera computadora del mundo destinada a los negocios. Diseñada por Oliver Standingford y Raymond Thompson de J. Lyons & Company, y modelada estrechamente en Cambridge EDSAC, LEO I puso en funcionamiento su primera aplicación en 1951. Una de sus primeras tareas fue la elaboración de pedidos diarios que las tiendas realizaban y fue utilizado para calcular otros datos.
  • Se construye el UNIVAC, el primer ordenador comercial.

    Se construye el UNIVAC, el primer ordenador comercial.

    El primer ordenador comercial de gran escala fue el UNIVAC, Universal Automatic Computer, por IBM, de 1951, que era programado tocando cerca de 6.000 llaves y conectando cables a un panel. La entrada y salida de informacion era realizada por una cinta metálica de 1/2 pulgada de ancho y 400 m de largo. En total, se vendieron 46 unidades del UNIVAC Modelo I, que eran normalmente acompañados de un dispositivo impresor llamado UNIPRINTER, que, consumía 14.000 W.
  • Es construida la EDVAC.

    Es construida la EDVAC.

    Mauchly y Eckert proyectan, construyen y finalizan en 1952, el EDVAC (Electronic Discrete Variable Automatic Computer) que fue la primera máquina comercial electrónica de procesamiento de datos del mundo. La EDVAC fue planeada para acelerar el trabajo almacenando programas y datos en su expansión de memoria interna.
  • Surge más capacidad en los ordenadores.

    Surge más capacidad en los ordenadores.

    Se construye el IBM 701, que utilizaba cinta plástica, más rápida que la metálica del UNIVAC, y el IBM 704, con la capacidad fenomenal de almacenar 8.192 palabras de 36 bits, ambos de IBM. En Inglaterra surgen el MADAM, Manchester Automatic Digital Machine, el SEC, Simple Electronic Computer, y el APEC, All-Purpose Electronic Computer.
  • Primera memoria magnética.

    Primera memoria magnética.

    En 1953, Jay Forrester construye una memoria magnética.
  • Transistores de silicio.

    Transistores de silicio.

    Se fabrican los primeros transistores de silicio.
  • Inicia la segunda generación de computadoras.

    Inicia la segunda generación de computadoras.

    A pesar de que los transistores son inventados años antes, es considerado este año como el primero para la segunda generación debido a que es cuando se aplican
    estos semiconductores a la construcción de las computadoras.
  • TRADIC: Primer computadora totalmente transistorizada.

    TRADIC: Primer computadora totalmente transistorizada.

    Jean H. Felker y James R. Harris diseñaron, en 1955, la primera computadora totalmente transistorizada llamada TRADIC (TRansistorized Airborne DIgital Computer), que contenía unos 800 transistores en lugar de tubos de vacío (los cuales tenían las computadoras de primera generación).
  • Period: to

    Segunda Generación de Computadoras

  • Termina el proyecto ENIAC.

    Termina el proyecto ENIAC.

    El proyecto ENIAC fue desactivado en 2 de octubre de 1955.
  • FORTRAN: Primer lenguaje de programación de alto nivel.

    FORTRAN: Primer lenguaje de programación de alto nivel.

    Otro gran logro de esta generación es el desarrollo del primer lenguaje de programación de alto nivel, el FORTRAN (FORmula TRANslator), por John Backus (1924-2007) y algunos de sus colaboradores, empleados de IBM. FORTRAN es muy apropiado para trabajos científicos, matemáticos y de ingeniería.
  • MANIAC, un ordenador avanzado.

    MANIAC, un ordenador avanzado.

    En 1957, el matemático Von Neumann colaboró para la construcción de un ordenador avanzado, el cual, como broma, recibió el nombre de MANIAC, Mathematical Analyser Numerator Integrator and Computer.
  • Lenguaje LISP.

    Lenguaje LISP.

    John McCarthy (1927) desarrolló el lenguaje LISP (acrónimo de LISt Processor), que aporta grandes avances en la investigación sobre Inteligencia Artificial por la facilidad con que permite el manejo de símbolos y listas.
  • Lenguaje de programación COBOL.

    Lenguaje de programación COBOL.

    Uno más de los asombrosos descubrimientos en el ámbito del software entre los años 1959 y 1960 es el lenguaje de programación COBOL (COmmon Business Oriented Language). Grace Murray Hopper (1906-1992) programadora de la marina de Estados Unidos, quien en 1952 había
    inventado el primer compilador llamado sistema A-0, fue una de las principales figuras del CODASYL (COmmittee on DAta SYstems Languages), que se encargó de desarrollar el proyecto COBOL.
  • El circuito integrado.

    El circuito integrado.

    El descubrimiento en 1958 del primer circuito integrado (Chip) por el ingeniero Jack St. Clair Kilby (1923-2005), de Texas Instruments, así como los trabajos que realizaba el Dr. Robert Noyce (1927-1990) de Fairchild Semiconductors, acerca de los circuitos integrados, fueron factores determinantes en el origen de la siguiente generación de computadoras.
  • Transistor de efecto de campo.

    Transistor de efecto de campo.

    Steven Hofstein descubre el transistor de efecto de campo, usado en los circuitos integrados MOS.
  • Inicio de la tercera generación.

    Inicio de la tercera generación.

    El siguiente paso fue la integración a gran escala de transistores en microcircuitos llamados
    procesadores o circuitos integrados monolíticos LSI (Large Scale Integration), así como la
    proliferación de lenguajes de alto nivel y la introducción de programas para facilitar el control y la
    comunicación entre el usuario y la computadora, denominados sistemas operativos.
  • Primer compañía de software con acciones negociadas en bolsa.

    Primer compañía de software con acciones negociadas en bolsa.

    En 1964, la CSC, Computer Sciences Corporation, creada en 1959, con un capital de 100 dólares, se transformó en la primera compañía de software con acciones negociadas en bolsa.
  • Period: to

    Tercera Generación de Computadoras

  • IBM presenta la minicomputadora IBM 360.

    IBM presenta la minicomputadora IBM 360.

    IBM presenta la minicomputadora IBM 360, con su tecnología SLT (Solid Logic Technology). Esta máquina causó tal impacto en el mundo de la computación, que se fabricaron más de 30,000,
    lo que hizo que IBM fuera reconocida como sinónimo de computación. Los medios de almacenamiento eran las cintas magnéticas de 9 canales y enormes discos rígidos, entre otros.
  • Lenguaje Basic.

    Lenguaje Basic.

    El lenguaje Basic es desarrollado por Thomas Eugene Kurtz
    (nacido en 1928) y John George Kemeny (1926-1992).
  • CDC 6600: la primer supercomputadora.

    CDC 6600: la primer supercomputadora.

    Seymour Cray (1925-1996) crea la primera supercomputadora, la CDC 6600, que podía realizar más de 3 millones de instrucciones por segundo.
  • PDP-8: la primer mini computadora comercial.

    PDP-8: la primer mini computadora comercial.

    En 1965, Digital Equipment lanza la PDP-8, la primer mini computadora comercial y a precio competitivo.
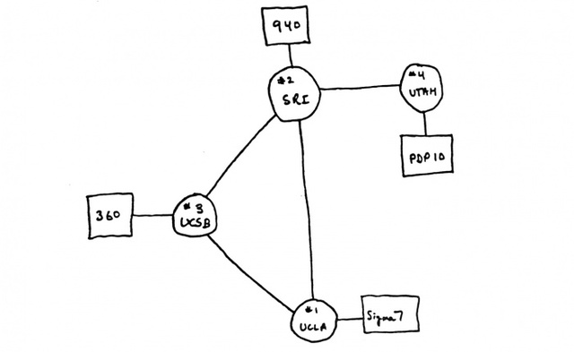
  • LOGO, UNIX y Red ARPANET

    LOGO, UNIX y Red ARPANET

    En 1967, Seymour Papert diseña el lenguaje de computación educativo para niños llamado LOGO; es creado en los Laboratorios Bell de AT&T el sistema operativo UNIX por los
    programadores Kenneth Thompson y Dennis Ritchie, y la creación de los primeros cuatro nodos de la red DARPANET, que tiempo después sería
    Internet.
  • Computadoras con circuito integrado.

    Computadoras con circuito integrado.

    Las primeras computadoras con circuito integrado fueron creados por Burroughs, en 1968, y tenían el nombre de B2500 y B3500.
  • El microprocesador.

    El microprocesador.

    INTEL Corporation introdujo en el mercado un nuevo tipo de circuito integrado: el microprocesador. El primero fue el 4004, de cuatro bits. Este marcaría en el futuro a las computadoras de las cuarta generación.
  • Microprocesador Intel 4004

    Microprocesador Intel 4004

    En 1971, Ted Hoff, diseña el microprocesador Intel 4004, el cual era un único chip con todas las partes básicas de un procesador central. Este procesador era la CPU de una computadora de 4 bits.
  • Primer mensaje de correo electrónico.

    Primer mensaje de correo electrónico.

    En 1971, Ray Tomlinson envió el primer mensaje de correo
    electrónico utilizando una dirección de correo separada por el signo de @ a través de la red ARPANET.
  • Period: to

    Cuarta Generación de Computadoras

  • Microprocesadores en microcomputadores.

    Microprocesadores en microcomputadores.

    INTEL Corporation introduce el microprocesador 8008, en 1972, el difundidísimo 8080, el 8085, etc. A partir de ahí surgen los microcomputadores.
  • Atari es lanzado.

    Atari es lanzado.

    En 1972, Bushnell lanza el Atari.
  • Microcomputadora ALTAIR 8800.

    Microcomputadora ALTAIR 8800.

    En 1974, Ed Roberts, del MITS (Micro Instrumentation and Telemetry Systems) en Albuquerque - Nuevo México, construye una microcomputadora llamado ALTAIR 8800, cuya máquina fue construida en base al procesador de Intel, el 8080. La computadora ALTAIR fue el mayor éxito, marcando el inicio de una industria multimillonaria.
  • Primer mouse.

    Primer mouse.

    En 1974, se fabricó el primer ratón electrónico o mouse por Douglas Engelbart.
  • Microsoft y el primer software para microcomputadora.

    Microsoft y el primer software para microcomputadora.

    Historia de Microsoft
    Los estudiantes William Bill Gates y Paul Allen crean el primer software para microcomputadora, el cual era una adaptación del BASIC (Beginners All-Purpose Symbolic Instruction Code, o " Código de Instrucciones Simbólicas para todos los Propósitos de los Principiantes") para la computadora ALTAIR, y así, crean Microsoft.
  • Sistema Operacional CP/M

    Sistema Operacional CP/M

    En 1976,Gary Kildall establece la Digital Research Incorporation, para vender el sistema operacional CP/M.
  • Tres microcomputadores son producidos en serie.

    Tres microcomputadores son producidos en serie.

    En 1977, surge en el mercado de producción en serie, tres microcomputadoras: la Apple II, la TRS-80 de Radio Shack y la PET de Commodore, creados por Jobs y Wozniak.
  • Primer programa comercial para microcomputadoras.

    Primer programa comercial para microcomputadoras.

    En 1979, es lanzado el Software "VisiCalc", el cual fue el primer programa comercial para microcomputadoras.
  • Wordstar y Apple Writer

    Wordstar y Apple Writer

    En 1979, Rubinstein Software comienza a comercializar un software escrito por Rob Barnaby: el Wordstar; y Paul Lutus produce el Apple Writer.
  • BASE II, IBM-PC y Lotus 1-2-3

    BASE II, IBM-PC y Lotus 1-2-3

    El programa BASE II del ingeniero de la NASA, Waine Ratliff, es lanzado en 1989. También se lanza IBM-PC y el Lotus 1-2-3, de Kapor, que alcanzó la lista de los más vendidos hasta 1982.
  • La quinta generación inicia marcada por dos sucesos.

    La quinta generación inicia marcada por dos sucesos.

    En 1982 es creada la primera supercomputadora con capacidad de proceso paralelo, diseñada por Seymour Cray (1925-1996) y el gobierno japonés anuncia el proyecto quinta generación, que según se acordó con seis de las más grandes empresas japonesas de computación, debería terminar en 1992.
  • Period: to

    Quinta Generación de Computadoras

    Hay quienes consideran que esta generación sigue aún en nuestros días, pero otros afirman que esta generación acabó en 1995 para dar lugar a las computadoras de sexta generación.
  • Los sistemas paralelos empiezan a competir con los sistemas vectoriales.

    Los sistemas paralelos empiezan a competir con los sistemas vectoriales.

    La computación paralela sigue avanzando al grado de que los sistemas paralelos empiezan a competir con los sistemas vectoriales en términos de poder total de cómputo.
  • Mejoras en las supercomputadoras.

    Mejoras en las supercomputadoras.

    La miniaturización de componentes y su consecuente reducción en costo y necesidades técnicas ayudan a obtener sistemas de muy alta capacidad en donde las estaciones de trabajo compiten y superan en capacidad a las supercomputadoras de las generaciones anteriores.
  • Se introduce el cobre trenzado con 10 Base T

    Se introduce el cobre trenzado con 10 Base T

    Se da la actualización de la especificación IEEE 802.3, para incluir cableado de par de cobre trenzado con 10 Base T.
  • Comienzan a funcionar los clusters.

    Comienzan a funcionar los clusters.

    Inicia el funcionamiento de computadoras en modo agrupado, también conocido como "cluster", en donde varias computadoras se comportan como una misma, dando un grado tal de tolerancia a fallas, que inclusive puede fallar una computadora sin que la funcionalidad se afecte.
  • Entra en funcionamiento NSFnet

    Entra en funcionamiento NSFnet

    Formalmente se cierra ARPAnet, que es reemplazada por la NSFnet y las redes interconectadas, dando origen a la participación pública en el desarrollo de lo que se convertiría en la red de redes, Internet, y la formación del grupo de trabajo para redes inalámbricas IEEE802.11 (Wireless LAN Working Group IEEE 802.11).
  • World Wide Web

    World Wide Web

    ¿Qué es World Wide Web?
    Tim Berners-Lee trabaja en una interfaz gráfica de usuario navegador y editor de hipertexto utilizando el ambiente de desarrollo de NeXTStep, bautizando como "World Wide Web" al programa y al proyecto.
  • Circuitos Integrados en una Escala Mucho Mayor de Integración

    Circuitos Integrados en una Escala Mucho Mayor de Integración

    Las computadoras de Quinta Generación tienen como característica el uso de IC VLSI - Integrated Circuit Very Large Scale Integration, o sea, "Circuitos Integrados en una Escala Mucho Mayor de Integración".
  • Implementación de redes de datos digitales.

    Implementación de redes de datos digitales.

    La implementación de redes de datos digitales se vuelve un asunto cotidiano, no solo alcanzando altas velocidades, sino además creando esquemas jerárquicos de transmisión de datos permitiendo la integración de servicios de video de alta calidad con movimiento total, voz y otros datos digitales multimedia en tiempo real.
  • Nuevos dispositivos inteligentes y nuevas alternativas con el internet.

    Nuevos dispositivos inteligentes y nuevas alternativas con el internet.

    Dispositivos inteligentes, yendo desde tostadoras y hornos de microondas, hasta casas y edificios conectados en red para su administración, supervisión y control remoto a través de las redes. Internet hace entrada en el mundo doméstico abriendo nuevas alternativas para negocios, comercios y empresas creando lo que se conocería como el "boom del punto com", en donde aparecen y desaparecen servidores de Internet en un grado vertiginoso, todos ellos de empresas que buscan un posicionamiento global.
  • Computadoras más pequeñas.

    Computadoras más pequeñas.

    Los "chips" son de un tamaño diminuto,haciendo que sea posible la creación de computadoras cada vez más chicas, como es el caso de la micro miniaturización del microprocesador F-100, que mide solamente 0,6 cm cuadrados y es tan pequeño como para pasar por el agujero de una aguja.
  • Nace el PENTIUM.

    Nace el PENTIUM.

    Nace el PENTIUM y grandes cambios en este periodo se dan debido a las memorias DIMM de 108 pines, a la aparición de las placas de video AGP y a un perfeccionamiento de los slots PCI mejorando aún más su performance.
  • Sistema Iridium

    Sistema Iridium

    Motorola presenta el concepto del Sistema Iridium para comunicación personal global, complementando los sistemas de comunicación alámbrica e inalámbrica terrestre.