Evolucion del Internet.

  • ARPANET.

    ARPANET.

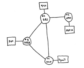
    Primera red sin nodos centrales, la cual conformaba parte 4 universidades estadounidenses. La UCLA , UCSB y SRI
  • Crecimiento exponencial de la web

    Crecimiento exponencial de la web

    En los 80s , se comenzaba a diseñar programas capaces de almacenar y recuperar información mediante asociaciones no deterministas llevando así ya en 1990 la elaboración de HTML.
  • Abandono de ARPANET

    Abandono de ARPANET

    El ministerio de defensa de Estados Unidos dio oportuno abandonar ARPANET y establecer una red independiente bajo su control absoluto (MILNET)
  • HTML

    HTML

    Se emprendió la elaboración de HTML, que permite combinar texto, imágenes y establecer enlaces a otros documentos trayendo consigo la creación del primer servidor "World Wide Web"
  • Expansion de HTML

    Expansion de HTML

    Como ya sabemos , en estos momentos las paginas webs que visualizábamos al navegar son documentos HTML almacenados en servidores, dando así la oportunidad de edición y expansión para todo tipo de Software para navegar ,editar y expandir.
  • Netscape

    Netscape

    En esta fecha la empresa Netscape lanzo su navegador tomando como base Mosaic , y al año siguiente dominando mas del 80% del mercado.
  • Jerrys Guide to the World Wide Web

    Jerrys Guide to the World Wide Web

    Como un pasatiempo juvenil , dos estudiantes de ingenieria electrica diseñaron un buscador gratuito a su nombre archivando direcciones y agrupándolas en temas.
  • Internet Explorer

    Internet Explorer

    Hasta este año Microsoft no había lanzado su primera versión de su propio navegador , Internet Explorer. Técnicamente estaba muy por detrás de Netscape pero tenia una particularidad. Era gratuito. Captando así el enfoque mundial.
  • Yahoo! , Valorizado

    Yahoo! , Valorizado

    Hasta 1997 el anteriormente llamado "Jerrys Guide to the world wide web" se posiciono como ganador valorizando en mas de tres mil millones de dólares.
  • Google

    Google

    Con su aparición ,se posiciono como el rival indiscutible de Yahoo!, pocos años después terminando de quitarle el podio a Yahoo! y tomando el podio de el buscador indiscutible de todo internet.

Looking for a timeline maker?

Create timelines for projects, roadmaps, history, lessons, legal cases, and stories with Timetoast. Timetoast is a timeline maker for work, school, research, and stories.