Internet 01

EVOLUCIÓN DEL INTERNET

  • Proyecto ARPA

    Proyecto ARPA

    Se conectaron 4 computadoras con el objetivo de resguardar la información a un ataque de la unión soviética
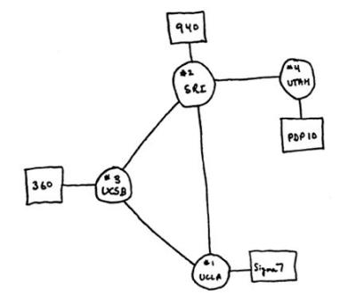
  • ARPANET 2

    ARPANET 2

    Se agregaron cuatro universidades estadounidenses importantes a la red ARPA, de este modo dejó de ser solo para fines militares
  • INTERNACIONALIZACIÓN DE ARPANET

    INTERNACIONALIZACIÓN DE ARPANET

    ARPANET se internacionalizó, con la incorporación de la Universidad College of London en Inglaterra y NORSAR en Noruega
  • TCP / IP

    TCP / IP

    ARPA declaró como estandar el protocolo TCP/IP (Transfer Control Procotol / Internet Protocol) y es entonces cuando aparece la primera definición de Internet: conjunto de internets conectadas mediante TCP / IP
  • DESARROLLO DE HTML

    DESARROLLO DE HTML

    Un licenciado de Oxford diseñó Enquire el que permitía almacenar y recuperar información mediante asociaciones no deterministas y partiendo de este programa se empezó a desarrollar HTML
  • WORLD WIDE WEB

    WORLD WIDE WEB

    A partir del desarrollo de HTML surgió la WWW (World Wide Web) en donde empezaron a surgir las páginas web junto al navegador Mosaic
  • NETSCAPE

    NETSCAPE

    Tomando de base a Mosaic, Netscape saca su navegador de internet haciendo posible la creación pública de páginas web
  • YAHOO!

    YAHOO!

    En 1994 después de que unos universitarios tuvieran un blog de internet y agarraran popularidad en cosa de dos años ya tenían el nombre de Yahoo! con un éxito muy grande
  • NAVEGADOR MICROSOFT

    NAVEGADOR MICROSOFT

    Microsoft saca su navegador web gratuito Microsoft Explorer que le hacía competencia al Netscape Navigator
  • MICROSOFT VS NETSCAPE

    MICROSOFT VS NETSCAPE

    Microsoft empezó a dejar atrás a netscape aún después de que volvieran netscape gratuito solo que microsoft empezó a incluír microsoft explorer dentro de sus sistemas operativos y esto terminó de destruír a netscape

Plan projects on a visual timeline

Map milestones, phases, deadlines, and key events in one place so the sequence is easier to see and share. Timetoast is a timeline maker for work, school, research, and stories.