-
El departamento de defensa de Estados Unidos creó la agencia ARPA para introducirla en el medio militar y crear nuevas tecnologías para su uso. Fuente: https://scholar.google.es/scholar?hl=es&as_sdt=0%2C5&q=historia+y+evoluci%C3%B3n+del+internet&oq=historia+y+evolu#d=gs_qabs&u=%23p%3DKXvMqjzj_xQJ
-
La agencia ARPA creó una red de computadoras para enviar datos militares y conectar a grupos de investigación en Estados Unidos, llamada ARPANET (Advanced Research Agency Network) o Red de la Agencia de Proyectos de Investigación Avanzada. Fuente: https://www.fib.upc.edu/retro-informatica/historia/internet.html
-
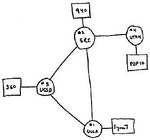
El 29 de Octubre se realizó la primera transmisión a través de ARPANET entre el SRI (Stanford Research Institute) y la UCLA (Universidad de California Los Ángeles) enviaron solamente una palabra, sin embargo no se logró recibir completa. Fuente: https://scholar.google.es/scholar?hl=es&as_sdt=0%2C5&q=historia+y+evoluci%C3%B3n+del+internet&oq=historia+y+evolu#d=gs_qabs&u=%23p%3DKXvMqjzj_xQJ
-
Primera interconexión entre los nodos de la Universidad de California en Los Ángeles, la Universidad de California en Santa Bárbara, el Stanford Research Institute y la Universidad de Utah. Fuente: https://scholar.google.es/scholar?hl=es&as_sdt=0%2C5&q=historia+y+evoluci%C3%B3n+del+internet&oq=historia+y+evolu#d=gs_qabs&u=%23p%3DKXvMqjzj_xQJ
-
Los 15 nodos estaban en la Universidad de California Los Ángeles, SDC, CMU, Stanford Research Institute, Harvard, CWRU, Universidad de California Santa Bárbara, Lincoln Lab, Universidad de Utah, BBN, Instituto Tecnológico de Massachusetts, Stanford, RAND, UIU(C), NASA/Ames. Fuente: https://scholar.google.es/scholar?hl=es&as_sdt=0%2C5&q=historia+y+evoluci%C3%B3n+del+internet&oq=historia+y+evolu#d=gs_qabs&u=%23p%3DKXvMqjzj_xQJ
-
Ray Tomlinson fue quien envió el primer correo electrónico, el cual solo decía las primeras letras del teclado, además fue el primero en utilizar el arroba (@). Fuente: https://www.elperiodico.com/es/tecnologia/20090617/ray-tomlinson-envio-el-primer-correo-electronico-en-1971-113183
-
La agencia conocida como ARPA cambió su nombre a DARPA, en español: Agencia de Proyectos de Investigación Avanzada de la Defensa. Fuente: https://www.cert.unam.mx/glosario/arpa
-
Se incorporaron a la red de nodos: NORSAR (Norwegian Seismic Array) y la UCL (University College of London) Fuente: https://scholar.google.es/scholar?hl=es&as_sdt=0%2C5&q=historia+y+evoluci%C3%B3n+del+internet&oq=historia+y+evolu#d=gs_qabs&u=%23p%3DKXvMqjzj_xQJ
-
DARPA declaró que el protocolo conocido como TCP (Transfer Control Protocol) o IP (Internet Protocol) sería el protocolo estándar. Fuente: https://scholar.google.es/scholar?hl=es&as_sdt=0%2C5&q=historia+y+evoluci%C3%B3n+del+internet&oq=historia+y+evolu#d=gs_qabs&u=%23p%3DKXvMqjzj_xQJ
-
El Ministerio de defensa de Estados Unidos decidió abandonar ARPANET y crear MILNET (Militar Operations Network), una red que fuera exclusivamente de uso militar. Sin embargo ARPANET siguió en funcionamiento. Fuente: https://scholar.google.es/scholar?hl=es&as_sdt=0%2C5&q=historia+y+evoluci%C3%B3n+del+internet&oq=historia+y+evolu#d=gs_qabs&u=%23p%3DKXvMqjzj_xQJ
-
La NSF (National Science Foundation) o Fundación Nacional para la Ciencia, pidió a Merit Network inc. que desarrollaran NSFNET. Esta comenzó con una serie de redes dedicadas a la comunicación de la educación y de la investigación. Fuente: https://sites.google.com/site/historiadelinternetnatalia/nsfnet
-
Tim Berners-Lee inventó la World WIde Web en el CERN (Centro Europeo de Física Nuclear) no poseía nada más que menús, textos e hipertextos, además definió los términos URLs (Uniform Resource
Locator, webpage address), HTML (interactive HyperText Markup Language) y HTTP (Hypertext Transfer Protocol between a server and clients). Fuente: https://scholar.google.es/scholar?hl=es&as_sdt=0%2C5&q=internet+history&btnG=#d=gs_qabs&u=%23p%3DSm6PfrU5d2kJ -
El año 1990 marcó el final de ARPANET, ya que este dejó existir. Fuente: https://scholar.google.es/scholar?hl=es&as_sdt=0%2C5&q=historia+y+evoluci%C3%B3n+del+internet&oq=historia+y+evolu#d=gs_qabs&u=%23p%3DKXvMqjzj_xQJ
-
Red unidireccional. Era posible acceder a información, sin embargo no se podía interactuar. Fuente: https://scholar.google.es/scholar?hl=es&as_sdt=0%2C5&q=evoluci%C3%B3n+de+la+internet+1.0+2.0+3.0&oq=#d=gs_qabs&u=%23p%3D6Bl5-BS4L3sJ
-
Mosaic fue el primer navegador gráfico, lanzado por NCSA (Centro Nacional de Aplicaciones de Supercomputación de la Universidad de Illinois) desarrollado por un grupo de estudiantes que buscaba generar una más fácil y mejor experiencia. Fuente: https://www.muycomputer.com/2018/04/24/25-anos-de-mosaic/
-
Después de comprar Mosaic en 1994, Microsoft lanzó la primera versión de su propio navegador gratuito: Internet Explorer. Fuente: https://www.malavida.com/es/analisis/la-historia-de-internet-explorer-auge-y-caida-del-navegador-de-microsoft-006464#gref
-
Sergey Brin y Larry Page fundaron el buscador Google que buscaba ordenar las páginas de la World Wide Web según su importancia. Fuente: https://about.google/intl/es-419/our-story/
-
Para el año 2000 ya habían 361 millones de usuarios en internet y la cantidad de sitios web sobrepasó los 50 millones, habiendo un notorio aumento en los ISPs (Internet Service Providers) o Proveedores de Servicios de Internet. Fuente: https://scholar.google.es/scholar?hl=es&as_sdt=0%2C5&q=internet+history&btnG=#d=gs_qabs&u=%23p%3DSm6PfrU5d2kJ
-
En esta red ya era posible compartir información.
Contenía blogs, páginas de ventas online, videos en línea, foros, redes sociales, comentarios. Fuente:https://concepto.de/web-2-0/ -
La primera versión lanzada solo era compatible con Microsoft XP y sus versiones anteriores. Fuente: https://sites.google.com/site/navegador012/home/datos-institucionales
-
Web semántica. Permitía realizar búsquedas de contenido más rápido y de forma más segura, contenía una base de datos para personalizar el contenido a cada usuario. Fuente: https://www.ceupe.com/blog/que-es-la-la-web-semantica.html
-
Esta web proponía una experiencia mucho más completa y personalizada, capaz de entregar soluciones concretas a las necesidades del usuario, tenía la capacidad de interactuar con la información que manejaba, por ejemplo el uso de geolocalización y la existencia de agentes en una nube. Fuente: https://dirigentesdigital.com/hemeroteca/llega_la_web_4-0-XVDD30624
-
A comienzos del 2020 la cifra de usuarios activos en internet fue de más de 4.540 millones, es decir, más de la mitad del total de la población mundial. Fuente: https://makeawebsitehub.com/es/estadisticas-de-internet/
Plan projects on a visual timeline
Map milestones, phases, deadlines, and key events in one place so the sequence is easier to see and share. Timetoast is a timeline maker for work, school, research, and stories.