Descarga (4)

EVOLUCIÓN DE LA TECNOLOGÍA EN LA COMUNICACIÓN

  • LA IMPRENTA

    LA IMPRENTA

    Inventada por Johann Gutenberg El mérito de Gutenberg fue perfeccionar las técnicas de impresión existentes, fundió en metal cada una de las letras del alfabeto por separado, e ideó un sistema para ponerlas una a continuación de otra y sujetarlas. De esta forma se podían componer más rápido las páginas y reutilizar los moldes para componer otras. Para reproducir los dibujos se seguía utilizando la xilografía y posteriormente se pintaban a mano.
  • CELDA ELECTROSTÁTICA  Y LA BATERÍA CAPÁZ DE PRODUCIR CORRIENTE ELÉCTRICA

    CELDA ELECTROSTÁTICA Y LA BATERÍA CAPÁZ DE PRODUCIR CORRIENTE ELÉCTRICA

    Alejandro Volta, la construye
  • EL TELÉGRAFO o TELEGRAFÍA

    EL TELÉGRAFO o TELEGRAFÍA

    Inventado en Inglaterra por Samuel F.B. Morse, siendo el medio para mandar telegramas y El código básico, llamado código Morse, transmitía mensajes mediante impulsos eléctricos que circulaban por un único cable.
  • ELECTRO-ÓPTICO EN LA TV

    ELECTRO-ÓPTICO EN LA TV

    Michael Faraday lo descubre.
  • FAX

    FAX

    Poco después de la invención del telégrafo, comenzaron a desarrollarse métodos para transmitir documentos impresos, básicamente fotografías y dibujos.
  • ANTONIO MEUCCI, INVENTOR DEL TELÉFONO

    ANTONIO MEUCCI, INVENTOR DEL TELÉFONO

    Alexander Graham Bell, que hasta ahora era aclamado por patentarla en 1876 como uno de los principales inventores de la historia, se limitó a robar la idea cuando el italiano acudió inocentemente a la compañía en la que él trabajaba, la Western Union con los papeles del invento.
  • PRIMERA IMAGEN ELÉCTRICA

    PRIMERA IMAGEN ELÉCTRICA

    Abbe Castelli la descubre al transmitir por alambre la primera imagen eléctrica de un dibujo, que va de Amiens a Paris, Francia.
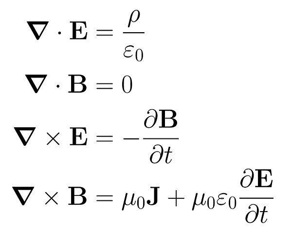
  • FORMULÓ LAS CUATRO ECUACIONES PARA LA TEORIA ELECTOMAGNETICA que sirven de fundamento de la teoría electromagnética.matemático Inglés, James Clerk Maxwell

    FORMULÓ LAS CUATRO ECUACIONES PARA LA TEORIA ELECTOMAGNETICA que sirven de fundamento de la teoría electromagnética.matemático Inglés, James Clerk Maxwell

    matemático Inglés, James Clerk Maxwell las formuló y dedujo que la Luz es una onda electromagnética, y que la energía se transmite por ondas electromagnéticas a la velocidad de la Luz.
  • PRIMER SISTEMA PRÁCTICO DE TV

    PRIMER SISTEMA PRÁCTICO DE TV

    Paul Nipkow, lo inventa con un disco analizador de imágenes.
  • PRIMERA SEÑAL RADIO ELÉCTRICA INTERCONTINENTAL

    PRIMERA SEÑAL RADIO ELÉCTRICA INTERCONTINENTAL

    Guillermo Marconi la transmite por aire a través del Océano Atlántico.
  • TELÉFONO DE DISCO ANALÓGICO

    TELÉFONO DE DISCO ANALÓGICO

    Para marcar, el usuario giraba el disco en el dígito específico, hasta completar el número del teléfono al que deseaba llamar. Al ir en retroceso, el disco interrumpía el circuito eléctrico de ese número, lo cual se interpretaba en el conmutador de la central telefónica como el número al que se iba a llamar.
  • PRIMERAS TRANSMISIONES DE TV POR ALAMBRE

    PRIMERAS TRANSMISIONES DE TV POR ALAMBRE

    John Logie Baird y Charles F. Jenkins, las realizan.
  • EL ICONOSCOPIO, TUBO DE IMAGEN P/CÁMARA DE TV

    EL ICONOSCOPIO, TUBO DE IMAGEN P/CÁMARA DE TV

    Dr. Vladimir Kosma Zworkyn lo descubre.
  • PRIMER RADIO-RECEPTOR ELECTRÓNICO

    PRIMER RADIO-RECEPTOR ELECTRÓNICO

    Se desarrolla la válvula de filamento
  • PRIMERAS TRANSMISIONES DE TV

    PRIMERAS TRANSMISIONES DE TV

    entre Nueva York y Washington DC.
  • DEMOSTRACIÓN DE RADIO FM

    DEMOSTRACIÓN DE RADIO FM

    Edwin H. Amstrong la realiza con gran éxito, ya que era una gran calidad de recepción (para la época).
  • PRINCIPIOS TEÓRICOS DEL COMPUTADOR

    PRINCIPIOS TEÓRICOS DEL COMPUTADOR

    por el matemático inglés Alan TuringPrincipios
  • SISTEMAS DE COMPUTACIÓN Y TUBOS DE VACIO.Bell Labs y Western Digital

    SISTEMAS DE COMPUTACIÓN Y TUBOS DE VACIO.Bell Labs y Western Digital

    Bell Labs y Western Digital, los descubren en el campo de batalla (los tanques, aviones y navíos contaban con radios de FM), logrando con ello que los radios se convirtieran una opción económicamente viable. En el mismo período, se crean LOS TUBOS DE VACIO.
  • PRIMER COMPUTADOR PROGRAMABLE

    PRIMER COMPUTADOR PROGRAMABLE

    por Conrad Zuse
  • COLOSSUS

    COLOSSUS

    Primer computador electrónico del mundo.
  • AT&T INSTALE SISTEMA DE TELEFONÍA MOVIL

    Conrad Zuse, da el permiso en la ciudad de St. Louis.
  • TELEFONÍA MÓVIL CELULAR

    TELEFONÍA MÓVIL CELULAR

    Por Bell Labs
  • PRIMER  SATÉLITE ORBITAL, el Sputnik I,

    PRIMER SATÉLITE ORBITAL, el Sputnik I,

    es lanzado por los Soviéticos.
  • TÉLEX

    TÉLEX

    Permite a sus abonados enviar mensajes y datos directamente a otros abonados y, a través de redes de operadoras internacionales, a otras muchas partes del mundo.
  • TV A COLOR, KALEIDOSCOPIO

    TV A COLOR, KALEIDOSCOPIO

    el ingeniero Guillermo González Camarena obtiene en México y Estados Unidos la patente
  • CIRCUITOS INTEGRADOS

    CIRCUITOS INTEGRADOS

    chip o microchip, es una estructura de pequeñas dimensiones de material semiconductor, normalmente silicio, de algunos milímetros cuadrados de superficie (área), sobre la que se fabrican circuitos electrónicos generalmente mediante fotolitografía y que está protegida dentro de un encapsulado plástico o de cerámica.
  • FIBRA ÓPTICA

    FIBRA ÓPTICA

    Corning Glass, la descubre para utilizarlas más comúnmente como un medio para transmitir luz entre dos puntas de una fibra y tienen un amplio uso en las comunicaciones por fibra óptica, donde permiten la transmisión en distancias y en un ancho de banda (velocidad de datos) más grandes que los cables eléctricos.
  • ARPANET.

    ARPANET.

    se conectaron cuatro computadoras, tres en California y una en UTA, en dicha red.
  • CORREO ELECTRÓNICO

    CORREO ELECTRÓNICO

    Primer programa para enviarlo
  • ESTÁNDAR ETERNET

    ESTÁNDAR ETERNET

    Creado por Robert Metcalfe para conectar ordenadores en redes de área local.
  • INTERNET

    INTERNET

    el ejército norteamericano adopta como estándar el protocolo TCP/IP. El ARPANET se separa de la red militar que lo originó y de allí es donde nace.
  • PRIMER EMOTICONO

    PRIMER EMOTICONO

    Scott Fohiman propuso utilizar después de una broma esto :-)
  • Laptop "Grid compass 101

    Creada por Bill Moggrigde, creó la primer laptop de la historia.
  • IBM Convertible PC.

    IBM Convertible PC.

    Por qué lleva el nombre de Convertible? Así como las laptop Asus Transformer a las que les puedes desmontar la pantalla para usarlas como tablet, a la IBM también podías quitarle la pantalla, pero no para usarlas como tablet.
  • TELEFÓNICA S.A.

    TELEFÓNICA S.A.

    en España anunció la compra de la compañía de telecomunicaciones de Chile (CTC), para luego llamarse Telefónica CTC Chile, que es hoy.
  • WWW

    WWW

    Tim Berners Lee de la CERN crea la primera página web que tenía como objetivo explicar que era la WORLD, WIDE, WEB
  • primer smartphone, IBM Simon.

    primer smartphone, IBM Simon.

    La potencia de cálculo de un smartphone es comparable a la de un ordenador de escritorio o portátil.
  • URL

    URL

    Localizador de Recursos Uniforme
  • Outlook (correo web)

    Outlook (correo web)

    es el servicio de correo electrónico basado en la web de Microsoft (conocido anteriormente como Hotmail, MSN Hotmail, Windows Live Hotmail. Las direcciones @outlook.com se ofrecieron a todos los usuarios, y quienes ya tenían cuenta en Hotmail pudieron optar por actualizarse voluntariamente a la interfaz de Outlook.com. Hotmail ofrecía un espacio de almacenamiento con medidas de seguridad patentadas
  • HTTP

    HTTP

    Protocolo de Transferencia de Hipertexto
  • HTML

    HTML

    Lenguaje de Etiquetado de Hipertexto
  • Netflix

    Netflix

    es una empresa de entretenimiento estadounidense, que opera a nivel mundial, cuyo servicio principal es la distribución de contenidos audiovisuales a través de una plataforma en línea o servicio de video bajo demanda por retransmisión en directo (en ingles Streaming). Ubicada en Los Gatos, en California.
  • smartphone, Ericsson GS88

    smartphone, Ericsson GS88

    disponía del sistema operativo de 16 bit GEOS de GeoWorks, el mismo que se adoptó en los Nokia 9000/9110 (que saldrían en los años 1996 y 1997 respectivamente), traía de serie correo electrónico POP3, SMS, reloj mundial y navegador entre otros.
  • Yahoo! Grupos

    Yahoo! Grupos

    es una de las mayores colecciones de foros de discusión en internet en el mundo. El concepto de Grupos se refiere a una herramienta de comunicación en internet, híbrida entre una lista de correo y un foro. En otras palabras, los mensajes de cada grupo se pueden leer y publicar por correo electrónico o bien en la página de inicio del grupo, como en un foro.
  • Compaq Tablet PC de HP

    Compaq Tablet PC de HP

    Es un dispositivo electrónico portátil de mayor tamaño que un teléfono inteligente o un PDA, se trata de una sola pieza que integra3​ una pantalla táctil (sencilla o multitáctil) que emite luz4​ ​y con la que se interactúa primariamente con los dedos o un estilete (pasivo o activo), sin necesidad de teclado físico ni ratón.
  • Mozilla Firefox

    Mozilla Firefox

    Comenzó como una rama experimental del proyecto Mozilla a cargo de Dave Hyatt, Joe Hewitt y Blake Ross. En su opinión, las exigencias comerciales del patrocinio de Netscape y el gran número de características de Mozilla Application Suite comprometían la utilidad de este.11​ Para combatir lo que ellos denominaban inflada Mozilla Application Suite, crearon un navegador independiente con la intención de reemplazarla.
  • Facebook

    Facebook

    es una compañía de origen estadounidense que ofrece servicios de redes sociales y medios sociales en línea con sede en Menlo Park, Californis por Mark Zuckerberg, junto con otros estudiantes de la Universidad de Harvard y compañeros de habitación, Eduardo Saverin, Andrew McCollum, Dustin Moskovitz y Chris Hughes.
  • YouTube

    YouTube

    es un sitio web de origen estadounidense dedicado a compartir videos. Presenta una variedad de clips de películas, programas de televisión y vídeos musicales, así como contenidos amateur como videoblogs y YouTube Gaming. Las personas que crean contenido para esta plataforma generalmente son conocidas como youtubers. Fue creado por tres antiguos empleados de PayPal.
  • Twitter

    Twitter

    Es un servicio de microblogueo, con sede en San Francisco, California, EE. UU., con filiales en San Antonio (Texas) y Boston (Massachusetts) en Estados Unidos. Twitter, Inc. fue creado originalmente en California, pero está bajo la jurisdicción de Delaware, creado por Jack Dorsey.
  • Google Chrome

    Google Chrome

    es un navegador web de código cerrado6​7​ desarrollado por Google, aunque derivado de proyectos de código abierto (como el motor de renderizado Blink).8​9​10​ Está disponible gratuitamente. El nombre del navegador deriva del término en inglés usado para el marco de la interfaz gráfica de usuario («chrome»).
  • WhatsApp

    WhatsApp

    fundada por Jan Koum y es una aplicación de mensajería instantánea para teléfonos inteligentes, en la que se envían y reciben mensajes mediante Internet, así como imágenes, vídeos, audios, grabaciones de audio (notas de voz), documentos, ubicaciones, contactos, gifs, así como llamadas y videollamadas con varios participantes a la vez, entre otras funciones.
  • Facebook Messenger

    Facebook Messenger

    permite a los usuarios de Facebook enviar mensajes entre sí. Complementando las conversaciones regulares, Messenger permite a los usuarios realizar llamadas de voz y videollamadas tanto en interacciones individuales como en conversaciones de grupo.

A list shows items. A timeline shows sequence.

Use Timetoast to make dates, milestones, and turning points easier to understand in a clear visual format. Timetoast is a timeline maker for work, school, research, and stories.