Image

Ernst Mach: February 18, 1838 - February 19, 1916

  • Ernst Mach is born

    Ernst Mach is born

    Ernst Waldfried Josef Wenzel Mach was born on February 18, 1838 in Chirlitz, now part of the Czech Republic. He was born to Johann Mach and Josephine Landaus.
  • Ernst Mach teaches at Charles University of Prague

    Ernst Mach teaches at Charles University of Prague

    Mach becomes a professor at Charles University of Prague, teaching experimental physics. Here he studied and experimented with the human body and movement, also known as kinetic sensation: ie the feeling of movement in the human body.
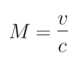
  • Mach establishes the Mach number

    Mach establishes the Mach number

    In 1887, Mach established the Mach number, a number that essentially equates to an objects velocity in comparison to the speed of sound. This set the groundwork for the future of supersonic study and eventually the use of supersonic aircraft and technology.
  • Mach studies shock-waves

    Mach studies shock-waves

    Mach used advances techniques, including the use of schlieren photography, to study the relation of moving object and the areas of pressure associated with them. He photographed bullets and established how when an object moves faster than sound it compressed the air in front of it.
    the video linked shows how this method of photography worked.
    https://youtu.be/mLp_rSBzteI
  • Mach publishes his work

    Mach publishes his work

    In 1897, Mach publishes "Contributions to the Analysis of the Sensations" speaking to the concept of human sensations and experiences shaping the outcome. He pushes that only verifiable and object observations of a theory are the only way to confirm or deny its existence. Mach, E., & Williams, C. M. (1897). Contributions to the analysis of the sensations. Open Court Pub. Co.
  • Ernst Mach dies

    Ernst Mach dies

    Ernst Mach passes away on February 19, 1916 in Haar,Germany at 78 years old.

Looking for a timeline maker?

Create timelines for projects, roadmaps, history, lessons, legal cases, and stories with Timetoast. Timetoast is a timeline maker for work, school, research, and stories.