DESARROLLO DE LAS REDES DE COMPUTADORES.

  • Enlace Discado

    Enlace Discado

    Dos computadores fueron conectados a
    través de un enlace discado de 1200 bps
  • ARPANET

    ARPANET

    Lawrence G. Roberts presenta el
    primer plan para crear ARPANET (Advanced
    Research Projects Administration Network) Conferencia en Ann Arbor, Michigan
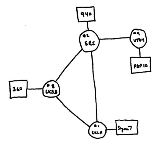
  • Nodo 1: UCLA

    Nodo 1: UCLA

    Fue la espina dorsal de Internet hasta 1990
  • Nodo 2:SRI

    Nodo 2:SRI

    Stanford Research Institute
    Cuando el SRI estuvo conectado a ARPANET desde UCLA se envió el primer mensaje Host to Host de la Red.
  • Nodo 3:UCSB

    Nodo 3:UCSB

    Universidad de California de Santa Barbara
    Matematica interactiva de culler - fried
  • Nodo 4: University of Utah

    Nodo 4: University of Utah

    Graficos
    DEC PDP-10, Tenex
  • Primera conexión de ARPANET

    Primera conexión de ARPANET

    Los nodos eran minicomputadoras
    Honeywell DDP-516 con 12K en memoria con
    líneas telefónicas de 50 kbps
  • La primera  red conmutada

    La primera red conmutada

    La universidad de Hawaii desarrolla la
    primera red conmutada
  • ARPANET A 15

    ARPANET A 15

    En 1970 ARPANET había crecido hasta 15 nodos con 23 ordenadores hosts (centrales)
  • Primer Programa de Administracion

    Crea el primer programa de administracion de correo electronico para listar, leer selectivamente, guardar, reeviar y responder mensajes
  • Ray Tomlinson

    Ray Tomlinson

    Ray Tomlinson, escribe el software básico de envío-recepción de mensajes de correo electrónico, impulsado por la necesidad que tenían los desarrolladores de ARPANET de un mecanismo sencillo de coordinación
  • DARPANET

    DARPANET

    ARPANET cambia su nombre a DARPANET ( Defense Advanced Research Projects Agency ) y se realiza la primera demostración pública de la nueva tecnología de ARPANET
  • Primera conexión internacional

    ARPANET hace su primera conexión
    internacional con el University College of London
  • Transmission Control Program,

    Transmission Control Program,

    Vint Cerf (Stanford University) y Robert Kahn (BBN), redactan un memoranda titulado "A Protocol for Packet Nertwork Internetworking", donde explicaban como podria resolverse el problema de comunicación entre los diferentes tipos de computadoras.
  • Division

    Division

    TCP se divide en TCP e IP el entorno experimental creció hasta incorporar cualquier forma de red
  • BITNET

    BITNET

    es construido por
    la Universidad de Wisconsin, la Universidad de
    Delaware, la Universidad de Purdue, RAND Corp
  • DCA

    DARPA establecen el Transmission Control
    Protocol (TCP) e Internet Protocol (IP) y el
    conjunto de protocolos conocidos como TCP/IP.
  • Division de ARPANET

    Division de ARPANET

    ARPANET se divide en ARPANET y MILNET.
    The military network, MILNET 68 nodos de los
    113 fueron mudados a MILNET.
  • Coneccion

    Se conectaron CSNET y ARPANET
  • Domain Name Service

    Domain Name Service

    Se introdujo Domain Name Service( Sistema de nombre de dominio)
  • Programó el gusano

    Programó el gusano

    Robert Morris envía un gusano a través de la red, afectando a
    6,000 de los 60,000 hosts existentes el tamaño de los archivos llenaba la memoria de las máquinas desabilitándolas
  • World WideWeb (WWW)

    World WideWeb (WWW)

    En Suiza desarrolla la World Wide
    Web (WWW) y Tim Berner-Lee crea el lenguaje
    HyperText Markup Language (HTML)
  • Arpanet deja de existir

    Arpanet deja de existir

    Cuando Arpanet dejó de existir, poca gente se apercibió de este hecho, debido a la gran expansión conseguida por su sustituto, Internet.
  • Mosaic

    Mosaic

    La NCSA crea Mosaic el primer navegador
    gráfico y genera un crecimiento asombroso.
    El número de servidores INTERNET sobrepasa los 2.000.000.
  • Yet Another Hierarchical Officious Oracle

    Yet Another Hierarchical Officious Oracle

    Dos estudiantes de doctorado de Stanford crean YAHOO!
  • Crecimiento exponencial

    Crecimiento exponencial

    El número de servidores de Internet alcanza los 3.800.000. Las primeras tiendas Internet empiezan a aparecer junto con "emisores" de radio on-line.
  • Internet

    Internet

    Hay más de 5 millones de servidores conectados a Internet.
  • Microsoft presenta Windows 95

    Microsoft presenta Windows 95

    Microsoft saca al mercado conjunatmente con su sistema operativo Windows 95 la primera versión del browser Internet Explorer 1.0
  • NSFNET

    NSFNET

    La NSF (National Science Foundation) el cual inició de NSFNET fue diseñado originalmente para concetar cinco superordenadores. Esto acelero el desarollo tecnológico y brindó a los usuarios mejores infraestructuras de las telecomunicaciones.
  • Avance de la Red

    Las redes se hacen convergentes, y ahora no solo funcionan para transmitir información, sino que también se pueden realizar intercambio de voz, así como video de alta calidad, es un paso grande para internet.
  • GNOME, MSN, Mac OS 9

    GNOME, MSN, Mac OS 9

    Aparece el entorno de escritorio GNOME, Se publica la primera versión de MSN Messenger, Surge Mac OS 9
  • Web

    Hay un rechazo de servicios masivos es lanzado contra importantes sitios web incluyendo a YAHOO, AMAZON, y eBAY
  • Microsoft

    Microsoft desarrolla como parte de su plataforma .NET el lenguaje de programación C#, que después fue aprobado como un estándar por la ECMA e ISO
  • Mozilla Firefox,

    Mozilla Firefox,

    Lanzamiento del navegador web Mozilla Firefox, llamado primeramente Phoenix, Puesta en marcha del supercomputador Earth Simulator que sería el ordenador más potenteLinux por parte de la empresa sudafricanaCanonical.
  • FACEBOOK

    FACEBOOK

    Facebook, la sensación del momento nace en 2004, tiene más de 37 millones de cuantas activas y más de 50 millones de usuarios diarios.
  • INTERNET BANDA ANCHA

    INTERNET BANDA ANCHA

    Los usuarios de Internet con conexión de banda ancha superan a los usuarios de internet con conexión vía módem en la mayoría depaíses desarrollados, El programa Google Earth es lanzado, Puesta en funcionamiento del supercomputador MareNostrum en el BSC.
  • YOUTUBE

    YOUTUBE

    Toma auge el video en sitios como Youtube. Youtube es un sitio web en el cual los usuarios pueden subir y compartir videos.
    Youtube Inc. fué fundada por Chad Hurley, Steve Chen y Jawed Karim en febrero de 2005 en San Bruno California.
  • Windows Vista/ Xbox 360.

    Windows Vista/ Xbox 360.

    Lanzamiento de Windows Vista, Entra en servicio el supercomputador Magerit perteneciente al CeSViMa,Microsoft lanza la nueva generación de Xbox llamada Xbox 360.
  • lAP TOP

    lAP TOP

    La empresa Dell lanza al mercado la primera computadora portátil (lap top) con el sistema operativo Ubuntu Linux preinstalado.
  • Windows 7

    Windows 7

    Este es el Sistema Operativo que la compañía Microsoft lanzó después de Windows Vista en 2006. Un Sistema Operativo le permite a tu computador administrar los programas y realizar tareas básicas
  • MacBook

    MacBook

    Apple lanza al mercado la MacBook Air la cual al parecer es la laptop más delgada del mundo, Apple lanza el móvil más revolucionario de la historia.
  • LINUX 5.0

    LINUX 5.0

    Debian GNU/Linux 5.0
  • GOOGLE CHROME

    GOOGLE CHROME

    Se espera el lanzamiento de Google Chrome OS, un sistema operativo creado por la empresa Google y basado en Linux
  • Windows 8

    Windows 8

    es un sistema operativo diseñado por Microsoft. Su mayor diferencia con las versiones anteriores de Windows es que presenta cambios en el menú de inicio, en la interacción y en la conectividad.

A list shows items. A timeline shows sequence.

Use Timetoast to make dates, milestones, and turning points easier to understand in a clear visual format. Timetoast is a timeline maker for work, school, research, and stories.