Diseñar bases de datos gratis 640x373

LINEA DE TIEMPO BASE DE DATOS

  • 1960 BCE

    La antigüedad

    El uso de las bases de datos se desarrolló a partir de las necesidades de almacenar grandes cantidades de información o datos; desde la aparición de las primeras computadoras.
  • La antiguedad
    1960 BCE

    La antiguedad

    Las bases de datos se remontan a la Antigüedad donde ya existían bibliotecas y toda clase de registros. Además también se utilizaban para recoger información sobre las cosechas y censos.
  • La antigüedad
    1950 BCE

    La antigüedad

    Máquina perforadora Herman Hollerit (1860-1929)
    Herman Hollerit (1860-1929) fue denominado el primer ingeniero estadístico de la historia, ya que invento una computadora llamada “Máquina Automática Perforadora de Tarjetas. Para hacer el censo de Estados Unidos en 1880 se tardaron 7 años para obtener resultados.
  • La década de los 90
    190

    La década de los 90

    En la década de 1990 la investigación en bases de datos giró en torno a las bases de datos orientadas a objetos. Así se desarrollaron herramientas como Excel y Access del paquete de Microsoft Office que marcan el inicio de las bases de datos orientadas a objetos.
  • La década de los 50

    La década de los 50

    Se da origen a las cintas magnéticas, para automatizar la información y hacer respaldos.
  • La década de los 60

    La década de los 60

    Los discos dieron inicio a las Bases de Datos, de red y jerárquicas, pues los programadores con su habilidad de manipulación de estructuras junto con las ventajas de los discos era posible guardar estructuras de datos como listas y árboles.
  • 1964

    Como parte del proyecto lunar Apolo de la NASA, la North American Aviation (NAA) creo un sistema jerárquico de archivos llamado “Método de Acceso Generalizado a Actualizaciones” (GUAM)
  • 1966

    IBM se unió a NAA para desarrollar GUAM como la primera Base de datos de modo jerárquico disponible para la venta llamada “Information Management System” (IMS) la cual se distribuyó.
  • 1967

    1967

    La Conference on Data Systems Languages (CODASIL) un grupo industrial, formó el Database Task Group (GBTG) y comenzó a trabajar con normas para el modelo de red.
  • 1970

    1970

    Las base de datos orientados a objetos aparecieron.
  • La década de los 70

    Cuando Edgar Frank Codd de IBM introdujo la idea de un modelo relacional de Bases de datos en un documento titulado “A Relational Model of data for Large Shared Banks”
  • 1971

    1971

    Los tres niveles de abstracción de datos se presentaron en el informe de CODASYL.
  • 1974

    El modelo binario de datos fue expuesto por Abrial
  • 1975

    1975

    Una propuesta parecida se presentó en el informe ANSI/SPARC, en que se denomina los conceptos de interno, conceptual y externo.
  • 1976

    1976

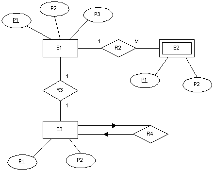
    El modelo de datos Entidad-Relación fue introducido por Chen.
  • 1976

    1976

    La versión original de SQL llamada Sequel 2 está descrita por Chamberlin.
  • 1976

    1976

    Kerschberg y Senko ofrecen análisis que tratan varios tipos de modelos de datos.
  • 1977

    1977 La versión experimental de Query-by-Example se describe en Zloof.
  • La década de los 80

    or su parte, a principios de los años ochenta comenzó el auge de la comercialización de los sistemas relacionales, y SQL comenzó a ser el estándar de la industria, ya que las bases de datos relacionales con su sistema de tablas (compuesta por filas y columnas) pudieron competir con las bases jerárquicas y de red, como consecuencia de que su nivel de programación era sencillo y su nivel de programación era relativamente bajo
  • 1980

    En esta década la tecnología relacional tomó mercado por asalto.
  • 1981

    La estructura de memoria fue introducido por March.
  • 1986

    1986

    ANSI y 1987 ISO formaron comités para las normas SQL.
  • 1987

    1987

    IBM da la definición de Arquitectura de Aplicación de Sistemas de IBM de SQL.
  • 1990

    1990

    Aparecieron los sistemas de objeto- relacional y el primero en venderse fue Informix, después por Oracle y BD2.
  • La década de los 90

    La década de los 90

    En la década de 1990 la investigación en bases de datos giró en torno a las bases de datos orientadas a objetos. Así se desarrollaron herramientas como Excel y Access del paquete de Microsoft Office que marcan el inicio de las bases de datos orientadas a objetos.
  • 1990

    Se creó la tercera generación de sistemas gestores de bases de datos. Y además, se creará la posibilidad de que SQL se pueda utilizar conjuntamente con XML, y se definirá las maneras de cómo importar y guardar datos XML en una base de datos SQL.
  • 1990

    1990

    Dando así, la posibilidad de proporcionar facilidades que permiten a las aplicaciones integrar el uso de XQuery (lenguaje de consulta XML) para acceso concurrente a datos ordinarios SQL y documentos XML. Y posteriormente, se dará la posibilidad de usar la cláusula order by. Aunque el boom de la década de los noventa será es el nacimiento del World Wide Web a finales de la década, ya que a través de este se facilitará la consulta a bases de datos.
  • 1990

    1990

    Dando así, la posibilidad de proporcionar facilidades que permiten a las aplicaciones integrar el uso de XQuery (lenguaje de consulta XML) para acceso concurrente a datos ordinarios SQL y documentos XML. Y posteriormente, se dará la posibilidad de usar la cláusula order by. Aunque el boom de la década de los noventa será es el nacimiento del World Wide Web a finales de la década, ya que a través de este se facilitará la consulta a bases de datos.
  • Siglo XXI

    En la actualidad, las tres grandes compañías que dominan el mercado de las bases de datos son IBM, Microsoft y Oracle. Por su parte, en el campo de internet, la compañía que genera gran cantidad de información es Google.
  • Siglo XXI

    Cabe destacar que Visual Studio es un entorno de desarrollo integrado para sistemas operativos Windows que soporta varios lenguajes de programación tales como Visual C++, Visual#, Visual J#, ASP.NET y Visual Basic.NET, aunque se están desarrollando las extensiones necesarias para otros, cuyo objetivo es permitir crear aplicaciones, sitios y aplicaciones web, así como servicios web a cualquier entorno que soporte la plataforma

A list shows items. A timeline shows sequence.

Use Timetoast to make dates, milestones, and turning points easier to understand in a clear visual format. Timetoast is a timeline maker for work, school, research, and stories.