Atomic Timeline

  • Democritus
    492 BCE

    Democritus

    He believed an atam was the smallest particle of matter. His atomic structure was just a sphere with no electrons, protons, or neutrons
  • Antoine Lavoisier

    Antoine Lavoisier

    Lavoisier discovered that matter is conserved in a chemical reaction.
  • John Dalton

    John Dalton

    He proposed that that all atoms of an element are identical and all the atoms that make up and element have the same mass.
  • Dmitri Mendeleev

    Dmitri Mendeleev

    Created the first periodic table with the few elements there were
  • Eugen Goldstein

    Eugen Goldstein

    Discovered canal rays which were positively charged ions that went through the cathode.
  • Robert Millikan

    Robert Millikan

    Millikan discovered the charge of electrons with the oil drop apparatus. The charge of an electron is 1.602×10-19 coulomb.
  • Ernest Rutherford

    Ernest Rutherford

    Created the atomic model in 1911, believed that electrons orbited around the nucleus like planets around the sun.
  • Henry Moseley

    Created the atomic battery by pulling electrons back into nuclear form with high voltage
  • Niels Bohr

    Niels Bohr

    Bohr was Nobel prize winner and contributed to studies on the quantum theory. His atomic model shows the atom as small, positively charged nucleus surrounded by orbiting electrons.
  • Max Planck

    Max Planck

    Created the quantum theory by discovering that a photon of light was carried by a quantum of energy
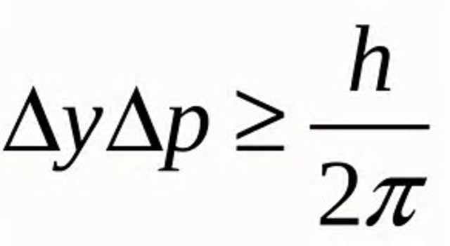
  • Werner Heisenberg

    Werner Heisenberg

    Discovered a way to formulate the quantum theory
  • Erwin Schrodinger

    Erwin Schrodinger

    Took Bohr’s atomic model further, instead created the quantum mechanical theory
  • James Chadwick

    James Chadwick

    Chadwick discovered the neutron. Which he announced as an uncharged particle inside the nucleus.
  • JJ thomson

    JJ thomson

    Thomason's model was known as the plum pudding model. His model shows the atom as positively charged, with negatively charged particles within it.

Want to make a timeline like this?

Use Timetoast to turn dates, events, milestones, and phases into a clear visual timeline you can build and share. Timetoast is a timeline maker for work, school, research, and stories.