Timeline de los precursores y generaciones de computadoras

  • Blaise Pascal

    Blaise Pascal

    Pascalina:
    La pascalina fue la primera calculadora que funcionaba a base de ruedas y engranajes, inventada en 1642 por el filósofo y matemático francés Blaise Pascal(1623-1662). El primer nombre que le dio a su invención fue «máquina de aritmética». Luego la llamó «rueda pascalina», y finalmente «pascalina». Este invento es el antepasado remoto del actual ordenador.
  • Gottfried Wihelm Leibniz

    Gottfried Wihelm Leibniz

    Demostró las ventajas de utilizar el sistema binario en lugar del decimal en las computadoras mecánicas y construyó una máquina aritmética que realizaba las cuatro operaciones básicas y calculaba raíces cuadradas. El proyecto empezó por el año 1679, mostró su “numeración diádica” con la cual todo número tenía la posibilidad de ser expresado mediante una serie formada por ceros y unos.
  • Charles Babbage

    Charles Babbage

    arles Babbage [Walworth (Londres, Reino Unido), 1791 – Marylebone (Londres, Reino Unido), 1871]. Matemático e ingeniero mecánico británico que diseñó y construyó parcialmente la primera máquina calculadora mecánica diferencial y una máquina analítica. Conocido por muchos como el padre de la computación digital. Cofundó la Analytical Society, creada para incorporar a las Matemáticas inglesas los descubrimientos alcanzados en el Continente europeo.
  • Augusta Ada Byron

    Augusta Ada Byron

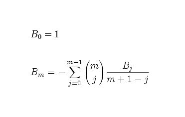
    A Lady Lovelace se le otorga el desarrollo de las primeras instrucciones para hacer cálculos en una versión temprana del ordenador (Máquina Analítica de Babbage). Llegó a escribir para Babbage un programa que permitía calcular los valores de los números de Bernoulli
  • Alan Mathison Turing

    Alan Mathison Turing

    Una máquina de Turing es un dispositivo teórico que manipula símbolos de una cinta de entrada en función de unas reglas. Se define como un autómata, que mediante un cabezal lector que lee de una cinta de entrada símbolos de un alfabeto, cambiando entre estados en función de la entrada pudiendo rechazar o aceptar la cadena de entrada dependiendo del lenguaje que acepte. Dicha máquina era capaz de implementar cualquier problema matemático que pudiera representarse mediante un algoritmo.
  • Konrad Zuse

    Konrad Zuse

    Se le considera el inventor de la primera computadora electrónica digital totalmente funcional, la conocida como Z3 (1941). Además, fue el primero en desarrollar un lenguaje informático e introducir el sistema de numeración binario en la construcción de ordenadores. de tecnología electromecánica, estaba construido con 2300 relés, tenía una frecuencia de reloj de ~5 Hz, y una longitud de palabra de 22 bits. Los cálculos eran realizados con aritmética en coma flotante puramente binaria.
  • John William Mauchly

    John William Mauchly

    Propuso la creación de un ordenador totalmente digital que facilitaría mucho los procesos de cálculo. Con la ayuda de la Armada y del Moore school ayudaron a Mauchly y Eckert a construirla. Este ordenador era capaz de realizar grandes operaciones, que antes no eran ni imaginables de calcular, como, sumar cinco mil números.
    ENIAC de las primeras computadora de propósitos generales. Era, digital, y susceptible de ser reprogramada para resolver “una extensa clase de problemas numéricos”.​
  • J. Presper Eckert

    J. Presper Eckert

    ENIAC, acrónimo de Electronic Numerical Integrator And Computer (Computador e Integrador Numérico Electrónico),​ fue una de las primeras computadora de propósitos generales. Era Turing-completa, digital, y susceptible de ser reprogramada para resolver “una extensa clase de problemas numéricos”. La UNIVAC I (Computadora Automática Universal I) fue la primera computadora comercial fabricada en Estados Unidos, Fue diseñada principalmente por J. Presper Eckert y John William Mauchly
  • John Von Neumann

    John Von Neumann

    Propuso la adopción del bit como unidad de medida de la memoria de las computadoras y, además, desarrolló el concepto de los "bits de paridad" para poder paliar la aparición de errores .Diseñó su arquitectura de computadores para resolver el problema de la necesidad de reconfiguración permanente de los primitivos ordenadores ENIAC; esta arquitectura es prácticamente la misma que tienen todos los ordenadores actuales.
  • La primera generación de computadoras (entre 1951 y 1959)

    La primera generación de computadoras (entre 1951 y 1959)

    se caracterizó por el uso de bulbos o relevadores que propiciaban un consumo excesivo de energía eléctrica, y las salas donde se instalaban requerían de costosos sistemas de enfriamiento debido al calor generado. Los operadores ingresaban los datos por medio de tarjetas perforadas y la programación solamente se desarrollaba en lenguaje de máquina o binario
  • La segunda generación de computadoras

    La segunda generación de computadoras

    Inicia cuando aparecen las primeras computadoras a partir de
    transistores, sustituyendo a las que funcionaban con bulbos. El cambio de tecnología logró un aumento de la confiabilidad de las computadoras, así como disminuir el costo de las mismas, al reducir las necesidades de mecanismos de refrigeración. Además de estas ventajas, la tecnología de los transistores incrementó significativamente la velocidad de procesamiento esta época se alcanzó el primer
    lenguaje , el FORTRAN.
  • La tercera generación

    La tercera generación

    El principal descubrimiento fue el primer circuito integrado, que consistió en empaquetar cientos de transistores en un delgado chip de silicio en esta generación proliferan los lenguajes
    de alto nivel (más cercanos al lenguaje humano), los cuales llegaron a clasificarse en tres tipos:
    comerciales (de los cuales, COBOL y RPG )
    científicos (FORTRAN era el de mayor uso; y PASCAL, favorito en los principales centros de enseñanza) y de uso general
  • La cuarta generación

    La cuarta generación

    IntelCorporation, pequeña compañía fabricante de
    semiconductores, presenta el primer microprocesador (chip) de 4 bits. Este chip contenía 2250 transistores en aproximadamente 4x5 mm Los microprocesadores –circuitos integrados de alta densidad con una velocidad impresionante, Las microcomputadoras fabricadas con base en estos circuitos son extremadamente
    más pequeñas y baratas, por lo que su uso se extendió al mercado industrial. Las PC o computadoras personales se conoce a las
    microcomputadoras
  • La quinta generación

    La quinta generación

    tenía el objetivo de producir máquinas con innovaciones reales, que dieran al usuario la capacidad de comunicarse con la computadora en un lenguaje más cotidiano . Además de estar compuestos por
    una gran cantidad de microprocesadores trabajando en paralelo, también podrían reconocer voz e imágenes, y se esperaba que aprendieran la habilidad para tomar decisiones con base en procesos de aprendizaje fundamentados en sistemas expertos e inteligencia artificial
  • La sexta Generación

    La sexta Generación

    , por lo que comprendería los más recientes avances tecnológicos,
    muchos de ellos todavía en crecimiento, como la inteligencia artificial distribuida,
    teoría del caos, sistemas difusos, holografía, transistores ópticos, etcétera. Las
    computadoras sofisticadas de este tiempo se caracterizan por contar con
    arquitecturas combinadas paralelo/vectorial, con
    cientos de microprocesadores vectoriales trabajando
    al mismo tiempo

Plan projects on a visual timeline

Map milestones, phases, deadlines, and key events in one place so the sequence is easier to see and share. Timetoast is a timeline maker for work, school, research, and stories.