Electricidad 1 1

PRINCIPALES ACONTECIMIENTOS DEL ESTUDIO DE LA ELECTRICIDAD

  • Thhales de Miletus
    600 BCE

    Thhales de Miletus

    Thales de Miletus fue el primero, que cerca del 600 AC, conociera el hecho de que el ámbar, al ser frotado adquiere el poder de atracción sobre algunos objetos.
  • MATERIALES ELÉCTRICOS

    MATERIALES ELÉCTRICOS

    William Gilbert clasifico materiales eléctricos y materiales aneléctricos.
  • ELECTROSTATICA

    ELECTROSTATICA

    W. Gillbert realizó investigaciones sobre la electrostática que producía repulsión entre cuerpos electrizados
  • TRANSMISIÓN DE ELECTRICIDAD

    TRANSMISIÓN DE ELECTRICIDAD

    Stephen Gray transmitió electricidad a través de un conductor
  • CARGAS ELECTRICAS

    CARGAS ELECTRICAS

    Charles Francois de Cisternay Du Fay identificó la existencia de dos tipos de cargas: negativa y positiva
  • BOTELLA DE LEYDEN

    BOTELLA DE LEYDEN

    Fue descubierta la botella de Leyden y la base de los actuales capacitores o condensadores eléctricos
  • DESCARGA ELECTRICA

    DESCARGA ELECTRICA

    Demostración de una descarga de electricidad es una corriente eléctrica
  • Benjamín Franklin

    Benjamín Franklin

    Benjamín Franklin demostró la naturaleza eléctrica de los rayos.
  • PARARRAYOS

    PARARRAYOS

    Invento del pararrayos por benjamín franklin
  • Charles Agustín de Coulomb

    Charles Agustín de Coulomb

    Charles Agustín de Coulomb inventó la balanza de torsión con la cual, midió con
    exactitud la fuerza entre las cargas eléctricas y corroboró que dicha fuerza era proporcional al producto de las cargas individuales e inversamente proporcional al cuadrado de la distancia que las separa.
  • BALANZA DE TORSIÓN

    BALANZA DE TORSIÓN

    Charles-Augustin de Coulomb invento la balanza de torsión
  • PILA DE VOLTA

    PILA DE VOLTA

    Alessandro Volta inventa la pila de volta
  • Sir Humphry Davy

    Sir Humphry Davy

    Sir Humphry Davy desarrolla la electroquímica, explorando el uso de la pila de Volta o batería, y tratando de entender como ésta funciona
  • Period: to

    PILA QUE DESCUBRE CLORO

    Humpry Davy fabrica unac y en 1808 publico el resultado de sus investigaciones sobre la electrólisis
  • FENÓMENOS ELECTROMAGNÉTICOS

    FENÓMENOS ELECTROMAGNÉTICOS

    Hans Christian Orsted demostró la teoría de la existencia de los fenómenos electromagnéticos
  • TERMOELECTRICIDAD

    TERMOELECTRICIDAD

    Thomas Johann Seebeck descubrió la termoelectricidad
  • RELACIÓN ENTRE ELECTRICIDAD Y MAGNETISMO

    RELACIÓN ENTRE ELECTRICIDAD Y MAGNETISMO

    Publicación de teorías e interpretaciones sobre la relación entre electricidad y magnetismo de André-Marie Ampère
  • ELECTROIMÁN

    ELECTROIMÁN

    William Sturgeon invento el electroimán
  • LEY DE OHM

    LEY DE OHM

    Georg Simon Ohm formulo la ley que lleva su nombre.
    Ley de Ohm
  • INDUCCIÓN ELECTROMAGNÉTICA

    INDUCCIÓN ELECTROMAGNÉTICA

    La inducción electromagnética simultáneas e independiente de Faraday
  • MICHAEL FARADAY

    MICHAEL FARADAY

    Michael Faraday descubrió la inducción electromagnética
  • Michael Faraday

    Michael Faraday

    Dio un paso fundamental en el desarrollo de la electricidad al establecer que el magnetismo produce electricidad a través del movimiento.
  • CONMUTADORES PARA MOTORES ELECTRICOS

    CONMUTADORES PARA MOTORES ELECTRICOS

    William Sturgeon inventó el conmutador para motores eléctricos
  • TELÉGRAFO MECÁNICO ÓPTICO

    TELÉGRAFO MECÁNICO ÓPTICO

    Morse realizó su primera demostración pública con su telégrafo mecánico óptico y efectuó con éxito las primeras pruebas en febrero de 1837
  • LEY DE LENZ

    LEY DE LENZ

    Heinrich Friedrich Lenz formulo la ley de lenz
  • EFECTO PELTIER

    EFECTO PELTIER

    Jean Peltier descubrió el efecto peltier
  • James Prescott Joule

    James Prescott Joule

    Joule inventó la soldadura eléctrica de arco y demostró que el calor generado por la corriente eléctrica era proporcional al cuadrado de la corriente.
  • LEYES DE KIRCHHOFF

    LEYES DE KIRCHHOFF

    Gustav Robert Kirchhoff Contribuyo en las leyes de Kirchhoff
  • SEGUNDA LEY DE TERMODINÁMICA

    SEGUNDA LEY DE TERMODINÁMICA

    William Thomson definió la segunda ley de la termodinámica
  • BOBINA DE INDUCCIÓN

    BOBINA DE INDUCCIÓN

    Heinrich Daniel Ruhmkorff ideo la bobina de inducción o bobina de Ruhmkorff
  • William Thomson

    William Thomson

    El matemático Inglés William Thomson, con su trabajo sobre el análisis teórico sobre transmisión por cable, hizo posible el desarrollo del cable transatlántico.
  • CABLE FLEXIBLE

    CABLE FLEXIBLE

    William Thomson invento el cable flexible
  • INVENTOS DE DINAMOS

    INVENTOS DE DINAMOS

    Zénobe-Théophile Gramme perfecciono los inventos de dinamos
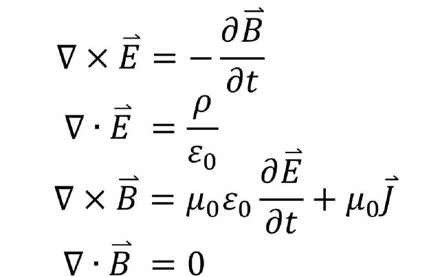
  • James Clerk Maxwell

    James Clerk Maxwell

    En 1870, James Clerk Maxwell Matemático Inglés formuló las cuatro ecuaciones que sirven de fundamento de la teoría Electromagnética
  • TUBO DE HITTORF

    TUBO DE HITTORF

    Johann Wilhelm Hittorf contribuyo con el tubo de hittorf.
  • Joseph John Thomson

    Joseph John Thomson

    Joseph John Thomson demostró que los rayos catódicos estaban constituidos de partículas atómicas de carga negativas la cual el llamó ¨Corpúsculos¨ y hoy en día los conocemos como Electrones
  • Primera locomotora eléctrica.

    Primera locomotora eléctrica.

  • Thomas Alva Edison

    Thomas Alva Edison

    Thomas Alva Edison produce la primera Lámpara Incandescente con un filamento de algodón carbonizado
  • Heinrich Rudolf Hertz

    Heinrich Rudolf Hertz

    Heinrich Rudolf Hertz demostró la validez de las ecuaciones de Maxwell y las reescribió, en la forma que hoy en día es conocida.
  • HERTZ

    HERTZ

    Hertz recibió el reconocimiento por sus trabajos sobre las Ondas Electromagnéticas: propagación, polarización y reflexión de ondas.
  • Albert Einstein

    Albert Einstein

    Albert Einstein formula la teoría del efecto fotoeléctrico, base de la producción de la energía solar fotovoltaica.

A list shows items. A timeline shows sequence.

Use Timetoast to make dates, milestones, and turning points easier to understand in a clear visual format. Timetoast is a timeline maker for work, school, research, and stories.