La evolución de las tecnologías de la información y la comunicación

By Sixtoo
  • El hombre prehistórico
    5000 BCE

    El hombre prehistórico

    El hombre prehistórico se comunicaba por medio de sonidos, señas, movimientos, gruñidos y expresiones corporales.
  • Escritura Mesopotámica
    3500 BCE

    Escritura Mesopotámica

    Inventado por los sumerios, surgió en Mesopotamia. Al principio, esta escritura era representativa con imágenes.
  • Jeroglíficos Egipcios
    3000 BCE

    Jeroglíficos Egipcios

    Los jeroglíficos egipcios fueron un sistema de escritura inventado por los antiguos egipcios. Fue utilizado desde la época pre-dinástica hasta el siglo IV. Los antiguos egipcios usaron tres tipos básicos de escritura: jeroglífica, hierática y demótica; esta última corresponde al período tardío de Egipto.
  • El ábaco
    3000 BCE

    El ábaco

    El ábaco representa el artefacto más antiguo empleado para manipular datos, fue el primer instrumento destinado a realizar operaciones aritméticas como sumas, restas y multiplicaciones. Se cree que alrededor del 3000 a. C, los babilonios empleaban el ábaco para realizar cálculos rudimentarios.
  • El papiro
    3000 BCE

    El papiro

    El soporte de escritura más antiguo fue el papiro, inventado por los egipcios en el tercer milenio antes de Cristo. Al papiro le siguió el pergamino, obtenido a partir de la piel de cordero, ternera o cabra. Después llegaría el papel, creado en China.
  • Primer Alfabeto
    1700 BCE

    Primer Alfabeto

    En lo que hoy es Siria y Palestina surge un conjunto de símbolos fue desarrollado para describir sonidos individuales, y estos símbolos son la primera forma del alfabeto.
  • Las antorchas romanas
    430

    Las antorchas romanas

    Los romanos utilizaron antorchas puestas en grupos apartados a distancias variantes en la cima de las montañas como medio de comunicación basado en señales de guerra.
  • La Imprenta
    1450

    La Imprenta

    Tras años de investigaciones y ensayos en secreto, Johannes Gutenberg dio hacia 1450 con la invención de la imprenta, un sistema que transformaría la difusión del saber en Europa.
  • El Telégrafo Óptico

    El Telégrafo Óptico

    El primer telégrafo óptico desarrollado como medio de comunicación a escala del estado fue desarrollado en Francia en 1790, ya desde la Revolución Francesa el estado francés había tratado en varias ocasiones de crear un sistema que permitiera al gobierno recibir y transmitir órdenes en el menor tiempo posible.
  • La Pila Voltaica

    La Pila Voltaica

    La pila voltaica fue la primera batería eléctrica que pudo proporcionar continuamente una corriente eléctrica a un circuito. Fue inventado por el físico italiano Alessandro Volta, quien publicó sus experimentos en 1799.
  • Daguerrotipo

    Daguerrotipo

    Fue el primer procedimiento fotográfico anunciado y difundido oficialmente en el año 1839. Lo hizo Louis Daguerre, en su honor, el invento se bautizó como daguerrotipo. Daguerre pretendía mejorar la caja oscura y acortar el proceso, ya que con el sistema de Nicéphore Niépce la exposición duraba horas antes de que el betún se endureciera.
  • Telégrafo Eléctrico

    Telégrafo Eléctrico

    El telégrafo es un aparato o dispositivo que emplea señales eléctricas para la transmisión de mensajes de texto codificados, como con el código Morse, mediante líneas alámbricas o comunicaciones de radio.
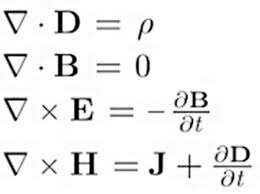
  • Ecuaciones de Maxwell

    Ecuaciones de Maxwell

    En 1865, el físico escocés James Clerk Maxwell formuló la teoría clásica del electromagnetismo deduciendo así que la luz está hecha de campos eléctricos y magnéticos que se propagan por el espacio, teoría que llevó a la predicción de la existencia de las ondas de radio y a las radiocomunicaciones.
  • International Telegraph Union

    International Telegraph Union

    La Unión Internacional de Telecomunicaciones es el organismo especializado en telecomunicaciones de la Organización de las Naciones Unidas, encargado de regular las telecomunicaciones a nivel internacional entre las distintas administraciones y empresas operadoras. Su sede se encuentra en la ciudad de Ginebra.
  • Teléfono

    Teléfono

    A principios de 1876, Alexander Graham Bell, un inventor británico, patento el teléfono, el cual permitía por primera vez, transmitir y emitir sonidos en tiempo real.
  • Radio

    Radio

    La historia de la radio comenzó en 1887, cuando el físico alemán Heinrich Hertz detectó radiación electromagnética (predicha veinticuatro años antes por Jaime Clerck Maxwell) a partir de cargas eléctricas poderosas. Pero el desarrollo de la radio se debió a otros hombres.
  • Televisor

    Televisor

    La historia comienza en 1926, cuando el ingeniero John Logie Baird inventó la televisión después de varios intentos por copiar el sistema de ondas electromagnéticas de la radio. Con un gran esfuerzo económico y sin recibir ayuda de inversores, Baird logró revolucionar las telecomunicaciones con este increíble aparato.
  • La Primera Computadora Mecánica Programable

    La Primera Computadora Mecánica Programable

    La Z1 fue una computadora mecánica diseñada por Konrad Zuse desde 1936 hasta 1937 y construida por él desde 1936 hasta 1938. ​​ Era una calculadora binaria, mecánica, de accionamiento eléctrico, con programación limitada, que leía instrucciones de una película de celuloide perforada.
  • Televisión a Color

    Televisión a Color

    A mediados del año 40, el mexicano Guillermo González Camarena, creó un sistema para transmisión de la televisión a color, optando por uno tricromático secuencial de campos, pero no fue hasta 1960 que se produjo una revolución al pasar de transmisiones en blanco y negro a color.
  • Primera Computadora Electrónica Digital

    Primera Computadora Electrónica Digital

    La ENIAC hizo su debut público en 1946. Es generalmente considerada como la primera computadora electrónica digital de "alta-velocidad" exitosa. Eckert y Mauchly abrieron la Eckert-Mauchly Corporation en Philadelphia en 1946.
  • Invención del transistor

    Invención del transistor

    En 1947, los Físicos Walter Brattain, William Shockley y John Bardeen, de los laboratorios Bell lograron el descubrimiento del transistor (Contracción de los términos Transfer Resistor).
  • Teoría de la información

    Teoría de la información

    La teoría de la información, también conocida como teoría matemática de la comunicación o teoría matemática de la información, es una propuesta teórica presentada por Claude E. Shannon y Warren Weaver a finales de la década de los años 1940.
  • Comunicación vía microondas

    Comunicación vía microondas

    Se establece el Primer Enlace de Comunicaciones Vía Microondas, permitiendo el transporte de información a un alto volumen a muy largas distancias.
  • Primer Satélite Artificial

    Primer Satélite Artificial

    El Sputnik 1 lanzado el 4 de octubre de 1957 por la Unión Soviética, fue el primer satélite artificial de la historia.​El Sputnik 1 fue el primero de varios satélites lanzados por la Unión Soviética en su programa Sputnik, la mayoría de ellos con éxito.
  • El Modem

    El Modem

    Fue en 1958 cuando aparecieron los primeros módems como parte del sistema de defensa SAGE. Estos aparatos conectaban diversas terminales en bases aéreas, en las que se encontraban radares y centros de control, con los centros del SAGE que se localizaban por todo lo largo y ancho de Norteamérica.
  • Inicios del Correo Electrónico

    El origen del correo electrónico se sitúa en 1961, cuando el Instituto Tecnológico de Massachusetts (MIT) ofreció una demostración en la que varios usuarios podían entrar a un IBM 7094 desde terminales remotas a través de un sistema; esto favoreció la creación de nuevas formas de compartir información.
  • ARPANET

    ARPANET

    ARPANET fue una red de computadoras creada por encargo del Departamento de Defensa de los Estados Unidos para utilizarla como medio de comunicación entre las diferentes instituciones académicas y estatales.
  • El Teléfono Móvil

    El Teléfono Móvil

    El Motorola Dynatac 8000x está considerado el primer teléfono móvil de la historia. Se puso a la venta el 13 de marzo de 1983 al precio de 4.000 dólares (unos 3.300 euros al cambio actual), con un peso de 800 gramos, una longitud de 33 centímetros y una autonomía de apenas 60 minutos.
  • Lanzamiento del disco compacto (CD)

    Lanzamiento del disco compacto (CD)

    El 1 de octubre de 1982 en Japón, el día que 52nd Street de Billy Joel se convirtió en el primer CD en salir a la venta, dos gigantes de la electrónica habían estado haciendo lobby durante años para pasar del adorado LP de vinilo al nuevo y reluciente disco óptico digital.
  • La WWW

    La WWW

    El científico informático británico Tim Berners-Lee creó el primer servidor web y un navegador web gráfico en 1990 mientras trabajaba en el CERN, la organización europea para la investigación nuclear en Suiza. Llamó a esta nueva ventana en internet la “WorldWideWeb”.
  • Mosaic

    Mosaic

    El navegador Mosaic o NCSA Mosaic fue el primer navegador web gráfico disponible para visualizar páginas web en sistemas operativos como Mac, Windows u otros. Este navegador web fue creado en enero de 1993, en el National Center for Supercomputing Applications, por Marc Andreessen y Eric Bina.
  • Código QR

    Código QR

    Es un módulo para almacenar información en una matriz de puntos o en un código de barras bidimensional, desarrollado en 1994 por la empresa Denso Wave.
  • Nace Google

    Nace Google

    En agosto de 1998, el cofundador de Sun, Andy Bechtolsheim, les dio a Larry y Sergey un cheque por USD 100,000. Ese fue el nacimiento oficial de Google Inc.
  • Nace Facebook

    Nace Facebook

    l 4 de febrero del año 2004 cambió el mundo. Ese día se lanza The Facebook, una red social creada por un alumno de Harvard llamado Mark Zuckerberg (White Plains, EE. UU., 1984) junto a otros estudiantes y compañeros de habitación (Eduardo Saverin, Andrew MacCollum, Dustin Moskovitz y Chris Hughes).
  • Lanzamiento de Twitter

    Lanzamiento de Twitter

    La versión definitiva se lanzó el 15 de julio de 2006, que según palabras de Liam Well, su definición era "una corta ráfaga de información intrascendente”, el “pio de un pájaro”, que en inglés es tweet.
  • Nace WhatsApp

    Nace WhatsApp

    Fue una idea de un joven emprendedor: Jan Koum, quien deseaba crear una aplicación que permitiese enviar notificaciones a los amigos.
  • Lanzamiento de Instagram

    Lanzamiento de Instagram

    Esta aplicación en la que los usuarios suben fotos y vídeos, con opción de utilizar filtros y marcos proporcionados por la propia app, nació en octubre de 2010 en San Francisco de la mano de Kevin Systrom y Mike Krieger.

Looking for a timeline maker?

Create timelines for projects, roadmaps, history, lessons, legal cases, and stories with Timetoast. Timetoast is a timeline maker for work, school, research, and stories.