Interacción gravitatoria

Interacción Gravitatoria-Victoria Ballesteros González 2º BACH A

  • Heliocentrismo
    1543

    Heliocentrismo

    Nicolás Copernico publica su teoría del sistema solar, una teoría heliocéntrica en donde explica que no es el Sol el que gira alrededor de la Tierra sino al contrario, la Tierra gira sobre sí misma una vez al día, y una vez al año da una vuelta completa alrededor del Sol.
  • Las tres leyes de Kepler

    Las tres leyes de Kepler

    Tycho Brahe invitó a Kepler a trabajar con él de asistente en Praga, y cuando este fallece su familia le da los datos de la investigación a Kepler, quien obtiene a partir de ahí las 3 leyes.
    *Los planetas se desplazan alrededor del Sol en órbitas elípticas, estando el Sol en uno de los focos. *El radio vector que une el planeta y el Sol barre áreas iguales en tiempos iguales. *El cuadrado del período orbital es directamente proporcional al cubo de la distancia media con el Sol.
  • Philosophiae Naturalis Principia Mathematica - Teoría General de la Gravitación

    Philosophiae Naturalis Principia Mathematica - Teoría General de la Gravitación

    Newton explicaba el movimiento de los astros y lo conectaba con las interacciones que observaba en el mundo terrestre.
    Es decir, Newton reflexionó y se imaginó que había una fuerza universal que hacía que los cuerpos se atrajeran entre sí, y la llamó "fuerza de gravitación universal" o "gravedad" (la misma
    fuerza es la responsable de la caída de una piedra y del movimiento de los cuerpos celestes) y la intensidad de la misma dependería de la distancia.
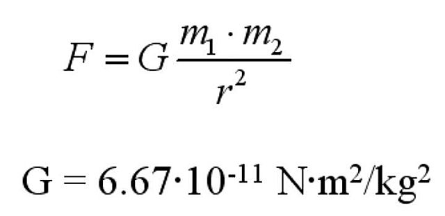
  • Constante de gravitación universal

    Constante de gravitación universal

    Henry Cavendish es el descubridor de esta constante gracias al experimento de Cavendish.
    El cual consistía en una balanza con una vara horizontal en cuyos extremos se encontraban dos esferas metálicas. Esta vara colgaba de un largo hilo, y cerca de las esferas puso otras dos esferas de plomo cuya acción gravitatoria debía atraer las masas. Y, a partir de las fuerzas de torsión en el hilo y las masas de las esferas fue capaz de calcular el valor de la constante de gravitación universal
  • Masas

    Masas

    Henry Cavendish mediante el "Experimento de Cavendish", calculó la masa de la Tierra y los diferentes cuerpos del Sistema Solar. Debido a que la fuerza de la gravedad de la Tierra sobre cualquier objeto en su superficie puede ser medida directamente, la medida de la constante de gravitación permitió determinar las masas.
  • Concepto de campo de fuerza

    Concepto de campo de fuerza

    Las líneas del campo magnético se deben a Michael Faraday que las denominó "líneas de fuerza". Él descubrió gracias a sus investigaciones los conceptos de campo y líneas de fuerza, fundamentales en la comprensión de las interacciones eléctricas y magnéticas, y piezas básicas en el desarrolló de la física.
  • Energías

    Energías

    William John Macquorn Rankine declaró lo que luego se llamaría la ley de conservación de la energía y vio una conexión entre la totalidad de los fenómenos físicos del movimiento visible y las energías. Resolviendo la idea de la intercambiabilidad de todas estas formas de energía y las leyes que subyacen a esto en su teoría sobre la energía, acuñando los términos energía potencial y cinética como lo conocemos ahora, así como la manera de calcularlas.
  • El magnetismo y la electricidad dentro del campo gravitatorio

    El magnetismo y la electricidad dentro del campo gravitatorio

    Maxwell apartir de su resolución del enigma sobre el planeta Saturno, redescubrió el campo gravitatorio y su conección con el magnetismo y la electricidad.   
    Predijo es que los anillos de Saturno estaban compuestos de enormes cantidades de pequeñas partículas individuales que flotaban alrededor del planeta, y que aparentaban ser anillos sólidos, resumuiendo a partir de esa cuestión en unas pocas líneas matemáticas cómo la electricidad y el magnetismo estaban conectados.
  • Ley de Hubble

    Ley de Hubble

    Lo que llamamos ley de Hubble es la relación entre la distancia a la que se encuentra una galaxia y su velocidad. Las galaxias más remotas tienden a alejarse más deprisa de nosotros, con una velocidad proporcional a su distancia. 
    En otras palabras, la ley de Hubble indica que el universo se expande y permite calcula dos magnitudes fundamentales del universo: su tamaño cognoscible y su edad aproximada.
  • Caída libre

    Caída libre

    Galileo Galilei postuló que si desde una cierta altura se lanza una bola de cañón y un pelo al mismo tiempo, si no hubiera aire, ambos llegarían al suelo a la vez.
    La leyenda afirma que Galileo realizó el experimento en la torre de Pisa, sin embargo, no existe constancia. De lo que sí existe certeza es del experimento que se realizó en el año 1971 dentro de la misión Apolo 15, cuando el comandante Scott lanzó en caída libre una pluma y un martillo en la luna y comprobó esta teoría. 
  • Materia oscura y gravedad

    Materia oscura y gravedad

    Las cosas no funcionan exactamente como dijo Einstein, y hasta ahora, los físicos utilizan el término "materia oscura" para explicar aquello que desconocen. Una nueva teoría sobre la gravedad (de gravedad emergente) puede explicar este comportamiento, ya que según esta teoría al igual que los cambios de temperatura surgen del movimiento de partículas microscópicas, la gravedad emerge de los fragmentos de información almacenados en la estructura del espacio.

Want to make a timeline like this?

Use Timetoast to turn dates, events, milestones, and phases into a clear visual timeline you can build and share. Timetoast is a timeline maker for work, school, research, and stories.