Descarga (7)

Historia y Evolución del Internet

  • Nacimiento de Internet

    Nacimiento de Internet

    En la guerra fría se buscaba detener el ataque de misiles pero la única forma fiable era dejando que los ordenadores actuasen y para ello, debían estar interconectados, comunicándose entre sí. Si miramos las redes de ordenadores que hay en las empresas y universidades, comprobaremos que la práctica totalidad son centralizadas. Entonces se adoptó la idea de crear una red sin nodos centrales.
  • La primera red sin nodos centrales

    La primera red sin nodos centrales

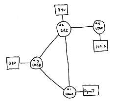
    se estableció ARPANET, la primera red sin nodos centrales. La primera transmisión tuvo lugar el 29 de octubre de 1969, en las que colaboraron la Universidad de California Los Angeles (UCLA), Universidad de California Santa Barbara (UCSB), Universidad de Utah y Stanford Research Institute (SRI).
  • Incorporación de diversas universidades

    Incorporación de diversas universidades

    ARPANET se internacionaliza, con la incorporación de la Universidad College of London (Gran Bretaña) y NORSAR (Norwegian Seismic Array, Noruega).
  • La llegada de "MILNET"

    La llegada de "MILNET"

    El ministerio de Defensa USA consideró oportuno abandonar ARPANET y establecer una red independiente bajo su control absoluto(MILNET). De los 113 nodos que conformaban ARPANET en ese momento, 68 pasaron a la nueva red militar; a los restantes, se fueron uniendo cada vez más centros de todo el mundo.
  • Las creaciones de Berners Lee

    Las creaciones de Berners Lee

    Licenciado en la Universidad de Oxford, Berners Lee comenzó a diseñar un programa, Enquire, que permitiera almacenar y
    recuperar información mediante asociaciones no deterministas. Partiendo de ese programa, emprendió la elaboración del HTML, que permite combinar texto, imágenes y establecer enlaces a
    otros documentos. También es creación suya el primer servidor World Wide Web y el primer programa cliente WorldWideWeb.
  • Los buscadores

    Los buscadores

    Dos ingenieros llamados David Filo y Jerry Yang fueron archivando las direcciones de internet que más les gustaban, agrupándolas por temas. Después de un tiempo publicaron su catálogo de direcciones para que cualquier persona pudiese consultarlo gratuitamente. Esta página fue propagándose de boca en boca hasta llegar a ser una de las más visitadas, llamada Yahoo!.
  • Microsoft crea "Internet Explorer"

    Microsoft crea "Internet Explorer"

    Microsoft lanzó la primera versión de su propio navegador, Internet Explorer. Para no dejarse vencer del navegador Netscape, Microsoft hizo su navegador con una particularidad distinta, y fue que era gratuito.
  • Comercialización de internet

    Comercialización de internet

    Con la llegada del TCP / IP las redes individuales, educativas y comerciales comenzaron a tener acceso a la comunicación casi inmediata y la información disponible que ofrecía Internet. Gracias a toda esta comercialización se crearon sitios privados, dando paso a la educación privada, sitios de compra y venta, entre otras.
  • Google

    Google

    Google llegaría arrasando con Yahoo! que a pesar de ser un
    motor de búsqueda, utiliza una nueva tecnología, para clasificar las páginas Web en función de su importancia, algo de sumo interés para quien está buscando algo. Esa ha sido la razón de su apoteósico Éxito, que le ha llevado a responder más de doscientos millones de consultas diariamente.
  • Internet hoy en día

    Internet hoy en día

    El internet ha tenido un impacto tan grande en la humanidad, que ya no se puede pensar en existir sin esto, vivimos esclavos de sus beneficios y nos volvimos todos dependientes de esto.

Plan projects on a visual timeline

Map milestones, phases, deadlines, and key events in one place so the sequence is easier to see and share. Timetoast is a timeline maker for work, school, research, and stories.