Tumblr mpp6tjdfhf1st5lhmo1 1280

Historia y evolución de la Computación

  • Época Primitiva.
    5000 BCE

    Época Primitiva.

    El hombre primitivo usaba sus dedos, varitas o palitos como herramienta que le permitía realizar cálculos básicos.
  • Método Manual de Registro.
    5000 BCE

    Método Manual de Registro.

    Los sumerios crearon un método que eran regristros escritos para uso comercial y gubernamental.
  • Ábaco.
    500 BCE

    Ábaco.

    Los chinos crearon un marco rectangular de madera con varillas en la que se desplazaban bolas agujeradas de izquierda a derecha, dependiendo de su posición eran unidad, centena, decena, etc...
  • Logarítmos.

    Logarítmos.

    John Napier creó un método matemático llamado "los huesos de Napier" ideado para simplificar el cálculo numérico.
  • Regla de cálculo.

    Regla de cálculo.

    William Oughtred creó una regla con varias escalas numéricas que facilitaban las operaciones aritméticas.
  • Sistema Binario.

    Sistema Binario.

    Francisco Bocón creo un sistema de numeración con números de dos cifras: el cero y el uno. Sistema que posteriormente se implementaría en las computadoras.
  • Calculadora mecánica/Pascalina.

    Calculadora mecánica/Pascalina.

    Blaise Pascal creó una calculadora que contaba con 8 ruedas en su interior dentadas conectadas entre sí, la cual reproducía el sistema decimal.
  • Cálculo Infinitesimal.

    Cálculo Infinitesimal.

    Gottfried Wilhelm Leibniz creó una máquina que podía sumar, multiplicar, dividir y extraer raíces.
  • Tarjeta Perforada.

    Tarjeta Perforada.

    Joseph Marie Jacquard creó las tarjetas perforadas que tejían patrones para elaborar diseños programables.
  • Aritmómetro de Colmar/Calculadora mecánica.

    Aritmómetro de Colmar/Calculadora mecánica.

    Charles Xavier Thomas de Colmar creó una calculadora portátil que operaba con piñones dentados que operaba fácilmente.
  • Máquina diferencial/Máquina analítica.

    Máquina diferencial/Máquina analítica.

    Charles Babbage creó dos máquinas que operaban tabulando funciones polinómicas, con notación decimal y accionada por una manivela.
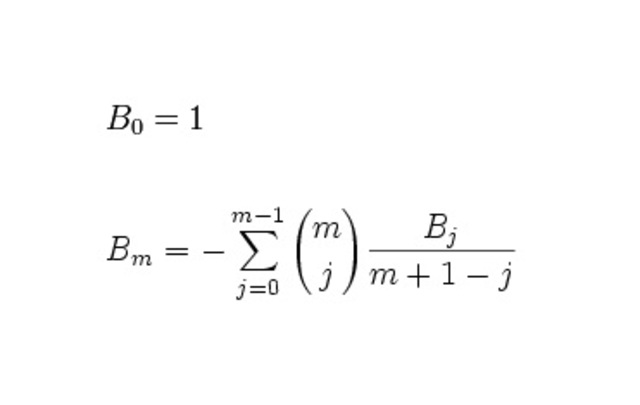
  • Números de Bernoulli.

    Números de Bernoulli.

    Augusta Ada Byron King "Lady Ada Agusta" fue la primera en recibir instrucciones para hacer cálculos en un ordenador, y creó un programa para calcular valores llamado "Bernoulli".
  • Máquina Tabuladora Eléctrica.

    Máquina Tabuladora Eléctrica.

    Herman Hollerith creó una máquina que registraba datos en las tarjetas perforadas.
  • Máquina de Turing.

    Máquina de Turing.

    Allan Mathison Turing inventó una máquina que manipulaba símbolos sobre una tira de cinta.
  • Primera Computadora Digital.

    Primera Computadora Digital.

    Attansoff Berry Computer (ABC) implementaron el sistema binario, operaciones electrónicas y la memoria a una computadora.
  • Calculadora Electromecánica.

    Calculadora Electromecánica.

    Samuel Williams y George Stribitz crearon la primera calculadora eléctrica con 450 relés y con teletipo para entrar datos y leer resultados, podía multiplicar grandes cifras.
  • Teoría matemática de la comunicación

    Teoría matemática de la comunicación

    Claude Elwood Shannon explicó en su libro llamado la "Teoría matemática de la comunicación" la cantidad de información en los mensajes se puede medir. También por primera vez se usó el término "bit" que significa mensajes binarios de forma equiprobable.
  • Calculadora Electrónica Moderna (MARK I).

    Calculadora Electrónica Moderna (MARK I).

    Howard Hathaway Aiken creó una calculadora con cinco operaciones, las cuatro operaciones aritméticas y el resultado. Ésta hacía cálculos con 20 cifras.
  • Primera Computadora/Electronic Numerical Integrator And Computer(ENIAC).

    Primera Computadora/Electronic Numerical Integrator And Computer(ENIAC).

    Dr.John W. Mauchly y John Presper Eckert crearon la primera computadora con 10,000 condensadores, 70,000 resistencias, 500,000 conexiones, podía calcular trayectorias y hacía tablas de balística.
  • Transistor

    Transistor

    John Barden, William Shockey y Walter Brattain crearon el transistor que era un dispositivo electrónico que lió lugar a circuitos integrados.
  • Primer Calculador Electrónico/Electronic Delay Storage Automatic Calculator(EDSAC).

    Primer Calculador Electrónico/Electronic Delay Storage Automatic Calculator(EDSAC).

    Maurice Wikes creó un calculador que podía calcular una tabla de números al cuadrado y una lista de números primos.
  • Calculadora Programada (IBM Modelo 604s).

    Calculadora Programada (IBM Modelo 604s).

    La IBM creó una calculadora que era para uso general en el área de contabilidad.
  • Primera Computadora Electrónica Digital (EDVAC).

    Primera Computadora Electrónica Digital (EDVAC).

    John Von Neumann junto con el Dr. John W. Mauchly y John Presper Eckert crearon la primera computadora electrónica digital la cual contaba con capacidad de almacenamiento de memoria.
  • Primera Computadora Comercial/Universal Automatic Computer I (UNIVAC I).

    Primera Computadora Comercial/Universal Automatic Computer I (UNIVAC I).

    John W. Mauchly y John Presper Eckert después de haber creado la EDVAC crearon una computadora comercial que era para uso de negocio y administrativo y también hacía cálculo de operaciones complejas.

Plan projects on a visual timeline

Map milestones, phases, deadlines, and key events in one place so the sequence is easier to see and share. Timetoast is a timeline maker for work, school, research, and stories.