Historia de la física

  • Nacimiento de Tales de Mileto
    624 BCE

    Nacimiento de Tales de Mileto

    Nacimiento de Tales de mileto filósofo, matemático, geómetra, físico y legislador griego. Dió origen al electromagnetismo. A Tales de Mileto se le otorga el descubrimiento de un mineral que tenía la propiedad de atraer ciertos metales: la magnetita.
  • Nacimiento de Aristóteles
    384 BCE

    Nacimiento de Aristóteles

    Nacimiento de Aristóteles, científico de la Antigua Grecia cuyas ideas han ejercido una enorme influencia en la física. Aristóteles sostuvo un sistema geocéntrico, en el cual la Tierra se encontraba inmóvil en el centro mientras a su alrededor giraba el Sol con otros planetas. Según su teoría, todo está compuesto de cinco elementos: agua, tierra, aire, fuego y éter. En su Física, cada uno de estos elementos tiene un lugar adecuado, determinado por su peso relativo o «gravedad específica».
  • Arquímedes de Siracusa
    287 BCE

    Arquímedes de Siracusa

    Nace en Sicilia Grecia Arquímedes de Siracusa físico, ingeniero, inventor, astrónomo y matemático griego. Entre sus avances en física se encuentran sus fundamentos en hidrostática, estática y la explicación del principio de la palanca.
  • Nacimiento de Nicolás Copérnico
    Feb 19, 1473

    Nacimiento de Nicolás Copérnico

    Nace en Polonia Nicolás Copérnico, fue un monje astrónomo polaco del renacimiento que formuló la teoría heliocéntrica del sistema solar (modelo astronómico según el cual la Tierra y los planetas se mueven alrededor del Sol relativamente estacionario y que está en el centro del universo). Contrario a lo que se pensaba con anterioridad.
  • Nacimiento de Galileo Galilei
    Feb 15, 1564

    Nacimiento de Galileo Galilei

    Nace en Italia Galileo Galilei físico italiano, relacionado estrechamente con la revolución científica. Sus aportaciones incluyen la mejora del telescopio, gran variedad de observaciones astronómicas y la primera ley del movimiento (principios a partir de los cuales se explican una gran parte de los problemas planteados en mecánica clásica). Ha sido considerado como el «padre de la astronomía moderna», el «padre de la física moderna»​ y el «padre de la ciencia».
  • Nacimiento de René Descartes

    Nacimiento de René Descartes

    Nace en francia René Descartes físico y matemático considerado considerado el creador del mecanicismo y considerado como uno de los hombres más destacados de la revolución científica. Explicó varios conceptos de magnetismo, óptica y la ley de conservación del movimiento que habían sido erróneamente planteados por la física aristotélica.
  • Kepler publica Astronomía Nova

    Kepler publica Astronomía Nova

    Kepler publica Astronomía nova en 1609, la gran culminación de sus cuidadosos esfuerzos para calcular la órbita de Marte. Este tratado contiene la exposición de dos de las llamadas leyes de Kepler sobre el movimiento planetario.
  • Isaac Newton

    Isaac Newton

    Nace en Inglaterra Isaac Newton físico, filósofo, teólogo, inventor, alquimista y matemático inglés.En su obra Philosophiae Naturalis Principia Mathematica de 1687, formuló los tres principios del movimiento y una cuarta Ley de la gravitación universal, que transformaron por completo el mundo físico; todos los fenómenos podían ser vistos de una manera mecánica. También se destacan sus trabajos sobre la naturaleza de la Luz y la óptica.
  • Se descubre la Ley Boyle-Mariotte

    Se descubre la Ley Boyle-Mariotte

    Fue descubierta por Robert Boyle en 1662. Edme Mariotte también llegó a la misma conclusión que Boyle, pero no publicó sus trabajos hasta 1676. La ley dice que: La presión ejercida por una fuerza física es inversamente proporcional al volumen de una masa gaseosa, siempre y cuando su temperatura se mantenga constante.
  • Descubrimiento de la célula

    Descubrimiento de la célula

    La primera vez en la historia en la que se nombra la palabra célula es en el año 1665, cuando Hooke publica su libro Micrographia. En dicho trabajo, el autor deja registro de numerosas observaciones realizadas con su microscopio sobre diversos tejidos vegetales, entre ellos, tejidos de corcho. Para el descubrimiento, Hooke cortó un pequeñísimo trozo de corcho y lo colocó en su microscopio compuesto de lentes convexos.
  • Formulación de la ley de la gravitación universal

    Formulación de la ley de la gravitación universal

    Isaac Newton basándose en los Leyes de Kepler formuló su "Ley de Gravita­ción Universal" en 1666 la cual años más tarde sería publicada en su obra Principia
  • Se mide la velocidad de la luz por primera vez

    Se mide la velocidad de la luz por primera vez

    La primera medición verdadera de la velocidad de la luz tuvo lugar en 1676. Ole Rømer, mientras observaba las lunas de Júpiter, se percató que el lapso de tiempo entre los eclipses de Júpiter con sus lunas se hacía más corto cuando la Tierra se movía hacia Júpiter, y más largo cuando la Tierra se alejaba. Este comportamiento anómalo tan sólo tenía sentido con una velocidad de la luz finita.
  • Newton publica Principia

    Newton publica Principia

    El 5 de julio de 1687 se publica los Principia, nombre con que comúnmente se conoce a la obra Philosophiæ Naturalis Principia Mathematica escrito por sir Isaac Newton. Newton recopila sus ideas en la forma de sus tres leyes del movimiento que constituyen los cimientos de la mecánica clásica, también incluye la ley de gravitación universal y una derivación de las leyes del movimiento planetario, obtenidas antes empíricamente por Kepler.
  • Inicios de la mecánica estadística

    Inicios de la mecánica estadística

    En 1733 Bernoulli usó argumentos estadísticos, junto con la mecánica clásica, para extraer resultados de la termodinámica, iniciando la mecánica estadística.
  • Charles-Augustin de Coulomb

    Charles-Augustin de Coulomb

    Nace Charles-Augustin de Coulomb matemático, físico e ingeniero francés. Se le recuerda por haber descrito de manera matemática la ley de atracción entre cargas eléctricas. En su honor la unidad de carga eléctrica lleva el nombre de coulomb (C). Entre otros estudios se le debe la teoría de la torsión recta y un análisis del fallo del terreno dentro de la mecánica de suelos.
  • Se obtiene el valor de la constante de gravitación universal G

    Se obtiene el valor de la constante de gravitación universal G

    El experimento de Cavendish o de la balanza de torsión permitió obtener implícitamente en 1789​ la primera medida de la constante de gravitación universal G y, con este dato, a partir de la ley de gravitación universal de Isaac Newton y de las características orbitales de los cuerpos del Sistema Solar, la primera determinación de la masa de los planetas y del Sol.
  • Georg Simon Ohm

    Georg Simon Ohm

    Físico y matemático alemán que aportó a la teoría de la electricidad la ley de Ohm. Conocido principalmente por su investigación sobre las corrientes eléctricas, estudió la relación que existe entre la intensidad de una corriente eléctrica, su fuerza electromotriz y la resistencia, formulando en 1827 la ley que lleva su nombre que establece que I = V/R.
  • Michael Faraday

    Michael Faraday

    Nace en Reino Unido Michael Faraday físico y químico británico que estudió el electromagnetismo y la electroquímica. Sus principales descubrimientos incluyen la inducción electromagnética, el diamagnetismo y la electrólisis. Mediante su estudio del campo magnético alrededor de un conductor por el que circula corriente continua, fijó las bases para el desarrollo del concepto de campo electromagnético.
  • Utilizando un péndulo se demuestra la rotación de la Tierra.

    Utilizando un péndulo se demuestra la rotación de la Tierra.

    En 1851 con ayuda de un péndulo esférico (capaz de oscilar libremente en cualquier plano vertical y durante mucho tiempo). el físico francés Jean Bernard Léon Foucault demostró la rotación de la Tierra.
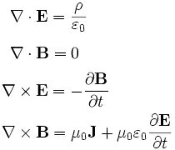
  • Formulación de las ecuaciones de Maxwell

    Formulación de las ecuaciones de Maxwell

    Los trabajos de André-Marie Ampère, William Sturgeon, Joseph Henry, Georg Simon Ohm, Michael Faraday en ese siglo, son unificados por James Clerk Maxwell en 1861 con un conjunto de ecuaciones que describían ambos fenómenos (magnéticos y eléctricos) como uno solo, como un fenómeno electromagnético.
  • Publicación de la teoría electromagnética de la luz

    Publicación de la teoría electromagnética de la luz

    En 1865, James Clark Maxwell publicó su célebre teoría electromagnética de la luz que demostraba magistralmente la identidad de las dos formas de energía luminosa y electromagnética. La experiencia demostraría que, al igual que la onda luminosa, la onda electromagnética se refleja y se refracta.
  • Ernest Rutherford

    Ernest Rutherford

    Ernest Rutherford fue un físico y químico neozelandés.e dedicó al estudio de partículas radioactivas denominándolas alfa, beta y gama. En 1911, dedujo la existencia de un núcleo atómico cargado positivamente, a partir de experiencias de dispersión de partículas.
  • Albert Einstein

    Albert Einstein

    Nace en Alemania Albert Einstein físico alemán de origen judío, nacionalizado después suizo, austriaco y estadounidense. Einstein formuló la teoría de la relatividad especial, la cual coincide con las leyes de Newton cuando los fenómenos se desarrollan a velocidades pequeñas comparadas con la velocidad de la luz. En 1915 extendió la teoría de la relatividad especial, formulando la teoría de la relatividad general. Desarrolló la teoría cuántica.
  • Se publica el principio de conservación de la energía

    Se publica el principio de conservación de la energía

    En 1849 con el aval De Faraday, James Prescott Joule consigue presentar su manuscrito " Sobre equivalente mecánico del calor" a la Royal Society y ser reconocido en el mundo científico.El principio de conservación de la energía contenido en el trabajo de Joule dio origen a una nueva rama de investigación denominada Termodinámica. Sus escritos científicos contenidos en 2 volúmenes fueron publicados en 1885 y 1887 respectivamente, recibiendo numerosos honores.
  • Niels Bohr

    Niels Bohr

    Nacimiento de Niels Bohr físico danés que realizó contribuciones fundamentales para la comprensión de la estructura del átomo y la mecánica cuántica. Desarrolló el modelo atómico en forma de orbitales que sustituyó al modelo de Rutherford. Fue galardonado con el Premio Nobel de física en 1922.
  • Los rayos X son descubiertos

    Los rayos X son descubiertos

    El físico alemán Wilhelm Conrad Röntgen descubre los rayos X en 1895, mientras experimentaba con los tubos de Hittorff-Crookes y la bobina de Ruhmkorff para investigar la fluorescencia violeta que producían los rayos catódicos.
  • Henri Becquerel descubrió la radiactividad

    Henri Becquerel descubrió la radiactividad

    En 1896 el físico francés Henri Becquerel En 1896 descubrió una nueva propiedad de la materia que posteriormente se denominó radiactividad. Este fenómeno se produjo durante su investigación sobre la fluorescencia.
  • Se descubre el electrón

    Se descubre el electrón

    El físico inglés Joseph John Thomson descubre en 1897 una nueva partícula y demostró que ésta era aproximadamente mil veces más ligera que el hidrógeno. Esta partícula fue bautizada con el nombre de electrón. Joseph John Thomson fue, por tanto, el primero que identificó partículas subatómicas y dio importantes conclusiones sobre esas partículas cargadas negativamente.
  • Se propone la teoría del modelo atómico de Thomson

    Se propone la teoría del modelo atómico de Thomson

    El modelo atómico de Thomson es una teoría sobre la estructura atómica propuesta en 1904 por Thomson, quien descubrió el electrón​ en 1897. En el modelo, el átomo está compuesto por electrones de carga negativa en un átomo positivo, incrustados en este al igual que las pasas de un pudin.
  • Formulación de la mecánica cuántica

    Formulación de la mecánica cuántica

    En 1926 Erwin Schrödinger y Paul Dirac formularon la mecánica cuántica, en la cual explican las teorías cuánticas precedentes. En la mecánica cuántica, los resultados de las medidas físicas son probabilísticos; la teoría cuántica describe el cálculo de estas probabilidades.
  • Se desarrollan las bases del modelo estándar

    Se desarrollan las bases del modelo estándar

    En 1954 Yang Chen Ning y Robert Mills desarrollaron las bases del modelo estándar. (Teoría relativista de campos cuánticos que describe la estructura fundamental de la materia y el vacío).

Looking for a timeline maker?

Create timelines for projects, roadmaps, history, lessons, legal cases, and stories with Timetoast. Timetoast is a timeline maker for work, school, research, and stories.