9650

Historia de la fisica

By EDG_043
  • Period: 1507 to

    La historia de la física

  • Nicolás Copérnico
    1510

    Nicolás Copérnico

    Publicó el libre “Commentariolus” diciendo que el geocentrismo está incorrecto y que el sol es el centro de nuestro sistema solar
  • Leyes de Caída libre

    Leyes de Caída libre

    Galileo Galilei presentó que todos los objetos caen con la misma aceleración
  • Leyes de Movimiento

    Leyes de Movimiento

    En 1687 Isaac Newton publicó su libro Philosophiæ naturalis principia mathematica donde muestra las 3 leyes de movimiento
  • Ley de Gravitación Universal

    Ley de Gravitación Universal

    También en el año 1687 en su libro Philosophiæ naturalis principia mathematica expone esta ley donde explica que todos los objetos del universo ejercen una fuerza gravitacional entre ellos
  • Sistema métrico decimal

    En 1799 fue creado el sistema métrico decimal que aún en la actualidad se sigue usando en Francia
  • Modelo de Dalton

    Modelo de Dalton

    En 1808 Dalton propuso el primer modelo del átomo con bases científicas
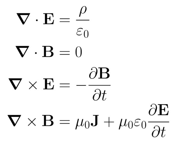
  • Ecuaciones de Maxwell

    Ecuaciones de Maxwell

    Maxwell unificó ambos fenómenos y las respectivas teorías vigentes hasta entonces en la Teoría del electromagnetismo
  • E = mc^2

    E = mc^2

    En el año 1905 Albert Einstein mostró ésta formula famosa sobre que la masa y la energía son la manifestación de la misma cosa
  • Mecánica Cuántica

    Mecánica Cuántica

    Explica el movimiento de las partículas microscópicas.
  • Partículas Subatómicos

    Se confirma que hay electrones, protones, y nuetrones

Want to make a timeline like this?

Use Timetoast to turn dates, events, milestones, and phases into a clear visual timeline you can build and share. Timetoast is a timeline maker for work, school, research, and stories.