Logo

Historia de la fisica

  • Thales de Mileto (625-546 A.C)
    625 BCE

    Thales de Mileto (625-546 A.C)

    Dió origen al Electromagnetismo. A Tales de Mileto se le otorga el descubrimiento de un mineral que tenía la propiedad de atraer ciertos metales: la magnetita. Tales observaría que frotando hierro a la magnetita, éste adquiría las propiedades magnéticas del mineral: el hierro se imantaba.
  • Demócrito (460 A.C- 370 A.C)
    460 BCE

    Demócrito (460 A.C- 370 A.C)

    Demócrito desarrolló la «teoría atómica del universo»,no apoya sus postulados mediante experimentos, sino que se explica mediante razonamientos lógicos. Defiende que toda la materia no es más que una mezcla de elementos originarios que poseen las características de inmutabilidad y eternidad, concebidos como entidades infinitamente pequeñas y, por tanto, imperceptibles para los sentidos, a las que Demócrito llamó átomo.
  • Period: 400 BCE to

    Historia de la fisica

  • Aristóteles  (384 A.C- 322 A.C)
    384 BCE

    Aristóteles (384 A.C- 322 A.C)

    Aristóteles sostuvo un sistema geocéntrico, en el cual la Tierra se encontraba inmóvil en el centro mientras a su alrededor giraba el Sol con otros planetas.
    Según su teoría, todo está compuesto de cinco elementos: agua, tierra, aire, fuego y éter. En su Física, cada uno de estos elementos tiene un lugar adecuado, determinado por su peso relativo o «gravedad específica».
  • Period: 476 to 1453

    Oscurantismo

    es la práctica deliberada de evitar que determinados hechos y conocimientos sean difundidos a la población. Histórica e intelectualmente tiene dos sentidos comunes : 1) restricción u oposición a la difusión del conocimiento al público y, 2) oscuridad deliberada; un estilo abstruso
  • Nicolás Copérnico (1473 a 1543, Polonia)
    Feb 19, 1473

    Nicolás Copérnico (1473 a 1543, Polonia)

    Astrónomo del renacimiento que formulo la teoría heliocéntrica del sistema solar. Termina con la etapa denominada oscurantismo donde predominaban las ideas aristotélicas. Considerado padre de la astronomía moderna, es considerado una pieza clave en lo que se llamo la Revolución científica.
  • Teoria heliocéntrica( Nicolás Copérnico)
    1543

    Teoria heliocéntrica( Nicolás Copérnico)

    Es un modelo astronómico según el cual la Tierra y los planetas se mueven alrededor del Sol relativamente estacionario y que está en el centro del universo.
  • Galileo Galilei (1564 a 1642, Italia)
    Feb 15, 1564

    Galileo Galilei (1564 a 1642, Italia)

    Relacionado estrechamente con la revolución científica. Mejoró el telescopio lo que le permitió llevar a cabo gran cantidad de observaciones astronómicas. Formulo la primera ley del movimiento. En sus trabajos en planos inclinados, Galileo empleó por primera vez el método científico y llegó a conclusiones capaces de ser verificadas. Es considerado el padre de la física moderna y de la ciencia.
  • Johannes Kepler (1571 - 1630)
    Dec 27, 1571

    Johannes Kepler (1571 - 1630)

    Astrónomo alemán
    Reconocido por: Leyes sobre el movimiento de los planetas sobre su órbita alrededor del Sol.
    Materias: Astronomía, Astrología, Física, Matemáticas...
    Obras: Astronomia nova, Harmonices mundi, Tablas rudolfinas...
    Cónyuges: Barbara Müller, Susanne Reuttinger
  • René Descartes (1596 a 1650, Francia)

    René Descartes (1596 a 1650, Francia)

    Considerado el creador del mecanicismo y considerado como uno de los hombres más destacados de la revolución científica. Explicó varios conceptos de magnetismo, óptica y la ley de conservación del movimiento que habían sido erróneamente planteados por la física aristotélica. Padre del racionalismo en la ciencia.
  • Leyes de Kepler

    Leyes de Kepler

    Describen el movimiento de los planetas.
    Primer ley:
    Dos los planetas se desplazan alrededor del Sol describiendo órbitas elípticas. El Sol se encuentra en uno de los focos de la elipse.
    Segunda ley:
    El radio vector que une un planeta y el Sol recorre áreas iguales en tiempos iguales.
    Tercera ley:
    Para cualquier planeta, el cuadrado de su período orbital es directamente proporcional al cubo de la longitud del semieje mayor de su órbita elíptica.
  • Primer telescopio (Galileo Galilei)

    Primer telescopio (Galileo Galilei)

    Este se uso para observar el firmamento y sus trabajos en planos inclinados, Galileo empleó por primera vez el método científico y llegó a conclusiones capaces de ser verificadas.
  • Hidrodinámica e hidroestática

    Hidrodinámica e hidroestática

    Se centró en los principios de los fluidos hidráulicos. Sus inventos incluyen la prensa hidráulica (que usa presión hidráulica para multiplicar la fuerza) y la jeringa. Él demostró que la presión hidrostática no depende del peso del fluido sino de la diferencia de elevación.
  • Ley de Elasticidad de Hooke

    Ley de Elasticidad de Hooke

    Establece que el alargamiento unitario que experimenta un material elástico es directamente proporcional a la fuerza aplicada sobre el mismo {\displaystyle F} F:
  • Invención del reloj de péndulo ( Christiaan Huygens)

    Invención del reloj de péndulo ( Christiaan Huygens)

    Debido a su interés en la astronomía, sus trabajos se centraron en la mecánica y la óptica que mejoraran la calidad de las observaciones. La necesidad de una medida más precisa del tiempo, fundamental en las observaciones astronómicas.
  • Ley de Boyle

    Ley de Boyle

    A temperatura constante, el volumen de una masa fija de gas es inversamente proporcional a la presión que este ejerce.
    PV=k
  • Leyes de la gravedad(Isaac Newton)

    Leyes de la gravedad(Isaac Newton)

    Son tres principios a partir de los cuales se explican una gran parte de los problemas planteados en mecánica clásica, en particular aquellos relativos al movimiento de los cuerpos, que revolucionaron los conceptos básicos de la física y el movimiento de los cuerpos en el universo.
  • Charles-Augustin de Coulomb (1736-1806)

    Charles-Augustin de Coulomb (1736-1806)

    Fue el primer científico en establecer las leyes cuantitativas de la electrostática, además de realizar numerosas investigaciones acerca de magnetismo, fricción y electricidad.
  • Luigi Galvani(1737-1798)

    Luigi Galvani(1737-1798)

    Los estudios de Luigi Galvani inauguraron una ciencia entera que no existía hasta ese momento: la neurofisiología, estudio del funcionamiento del sistema nervioso en la que se basa la neurología
  • Principio de Bernoulli

    Principio de Bernoulli

    Describe el comportamiento de un líquido moviéndose a lo largo de una línea de corriente.
  • Michael Faraday (1791-1867)

    Michael Faraday (1791-1867)

    Mediante su estudio del campo magnético alrededor de un conductor por el que circula corriente continua, fijó las bases para el desarrollo del concepto de campo electromagnético. También estableció que el magnetismo podía afectar a los rayos de luz y que había una relación subyacente entre ambos fenómenos
  • Ley de Ohm

    Ley de Ohm

    Es una ley básica de los circuitos eléctricos. Establece que la diferencia de potencial que aplicamos entre los extremos de un conductor determinado es proporcional a la intensidad de la corriente que circula por el citado conductor. Ohm completó la ley introduciendo la noción de resistencia eléctrica que es el factor de proporcionalidad que aparece en la relación entre V= R*I
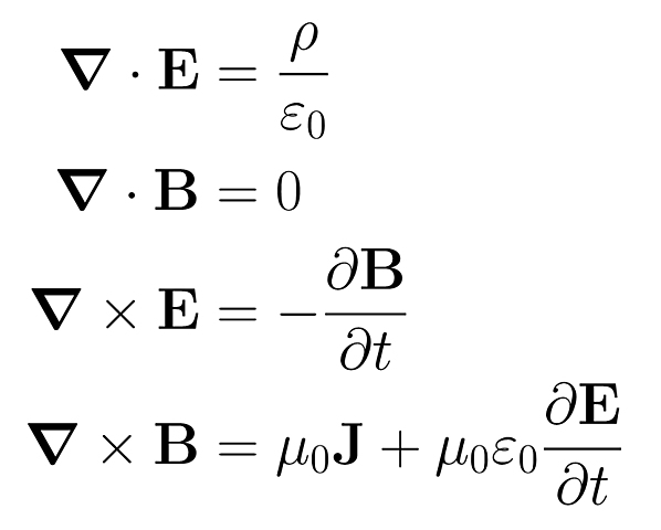
  • Ecuaciones de Maxwell

    Ecuaciones de Maxwell

    Son un conjunto de cuatro ecuaciones que describen por completo los fenómenos electromagnéticos.
    1-.Ley de Gauss para el campo eléctrico
    2.-Ley de Gauss para el campo magnético
    3.-Ley de Faraday-Lenz
    4.-Ley de Ampère generalizada
  • Descubrimiento de los electrones (Joseph John Thomson)

    Descubrimiento de los electrones (Joseph John Thomson)

    Thomson realizó una serie de experimentos en tubos de rayos catódicos, que le condujeron al descubrimiento de los electrones. Thomson utilizó el tubo de Crookes en tres experimentos diferentes.
  • Primer modelo del átomo(Hantarō Nagaoka)

    Primer modelo del átomo(Hantarō Nagaoka)

    Nagaoka desarrolló uno de los primeros modelos planetarios del átomo.El Modelo de Nagaoka estaba basado alrededor de la analogía con Saturno (planeta) y con las teorías que explicaban la estabilidad y relaciones gravitatorias entre este y sus anillos. La cuestión era esta: los anillos son muy estables porque el planeta que orbitan es muy masivo
  • Teoria de la relatividad especial (Einstein)

    Teoria de la relatividad especial (Einstein)

    La teoría es "especial", ya que solo se aplica en el caso especial/particular donde la curvatura del espacio-tiempo producida por acción de la gravedad es irrelevante, es decir, en esta teoría Einstein no tuvo en cuenta a la gravedad como variable
  • Ernest Rutherford(1871-1937)

    Ernest Rutherford(1871-1937)

    Se dedicó al estudio de las partículas radiactivas y logró clasificarlas en alfa (α), beta (β) y gamma (γ)
    Se le debe un modelo atómico, con el que probó la existencia del núcleo atómico, en el que se reúne toda la carga positiva y casi toda la masa del átomo.
  • Modelo atomico de bohr

    Modelo atomico de bohr

    Este servia para explicar cómo los electrones pueden tener órbitas estables alrededor del núcleo y por qué los átomos presentaban espectros de emisión característicos
  • Teoria de la relatividad general (Einstein)

    Teoria de la relatividad general (Einstein)

    Los principios fundamentales introducidos en esta generalización son el principio de equivalencia, que describe la aceleración y la gravedad como aspectos distintos de la misma realidad, la noción de la curvatura del espacio-tiempo y el principio de covariancia generalizado.
  • Teoria Cuantica

    Teoria Cuantica

    es la rama de la física que estudia la naturaleza a escalas espaciales pequeñas, los sistemas atómicos y subatómicos y sus interacciones con la radiación electromagnética, en términos de cantidades observables. Se basa en la observación de que todas las formas de energía se liberan en unidades discretas o paquetes llamados cuantos
  • Modelo estándar

    Modelo estándar

    Basada en las ideas de la unificación y simetrías​ que describe la estructura fundamental de la materia y el vacío considerando las partículas elementales como entes irreducibles cuya cinemática está regida por las cuatro interacciones fundamentales.