fisica moderna

  • Young doble rendija 1801

    El experimento de Young, más conocido como el experimento de la doble rendija y fue un intento de discernir sobre la naturaleza corpuscular u ondulatoria de la luz. Young comprobó un patrón de interferencias en la luz procedente de una fuente lejana al difractarse en el paso por dos rejillas, resultado que contribuyó a la teoría de la naturaleza ondulatoria de la luz.
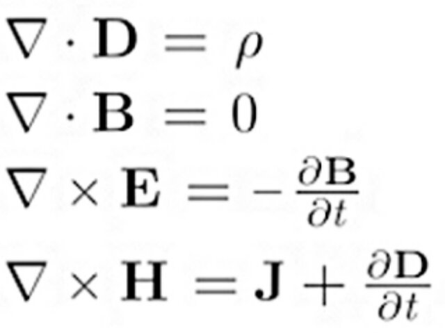
  • Maxwell 1865 unifica magnetismo con electrostática en 4 ecuaciones y determina la velocidad de la luz

    Maxwell 1865 unifica magnetismo con electrostática en 4 ecuaciones y determina la velocidad de la luz

    James Clerk Maxwell formuló la teoría clásica del electromagnetismo deduciendo así que la luz está hecha de campos eléctricos y magnéticos que se propagan por el espacio, teoría que llevó a la predicción de la existencia de las ondas de radio y a las radiocomunicaciones, y en 4 ecuaciones expresó todas las leyes del electromagnetismo conocidas hasta el momento.
  • Planck 1900 constante cuantos de energía

    La radiación no es emitida ni absorbida en forma continua, sino en pequeñas cantidades a las que denominó cuantos.
  • Lorentz premio nobel

    Propuso que la luz emitida por un átomo tiene su origen en electrones vibrantes dentro del mismo.
  • Lorentz

    La transformación de Lorentz permite preservar el valor de la velocidad de la luz constante para todos los observadores inerciales. Eso estableció la base de la matemática de la teoría de la relatividad especial de Einstein.
  • Rutherford

    Propuso que los átomos tienen un núcleo central donde se encuentra el mayor porcentaje de su masa. Este núcleo tiene carga eléctrica positiva y es orbitado por partículas de carga opuesta y de menor tamaño
  • Niels Bohr

    Propuso que los electrones giran en orbitas circulares alrededor del núcleo, ocupando la orbita de menor energía posible, o la orbita mas cercana posible al núcleo
  • Albert Einstein "Teoria de la relatividad general"

    la teoria de la relatividad general predice que el espacio tiempo no sera plano en presencia de materia y que la curvatura del espacio tiempo sera percibida como un campo gravitatorio
  • Karl Schwarzschild

    La métrica de Schwarzachild es un solución exacta de las ecuaciones de Einstein del campo gravitatorio que describe el campo generado por una estrella o una masa esférica. Este tipo de solución puede considerarse una descripción relativista aproximada del campo gravitatorio del sistema solar
  • Planck pemio nobel

    Propuso que la energía se radia en cuantos. De ahí surge el nombre de la teoría cuántica. La ley de Planck establece que a energía de casa cuanto es igual a la frecuencia de la radiación multiplicada por la contante universal.
  • Einstein 1921 nobel fotoeléctrico

    Trabajo sobre el efecto fotoeléctrico: Propuso quela lu estaba constituida de partículas llamadas fotones.
  • Louis-Victor de Broglie

    Presentó su tesis defendiendo la existencia de una onda asociada al electrón y la relación entre la luz y la materia. Sus investigaciones llegaron a la mecanica ombulatoria.
  • Schrödinger 1925 ecuación de onda

    Es un experimento mental que explica la dualidad onda partícula, donde se comporta como una onda y en estados cuánticos superpuestos, es decir que se comporta como onda y partícula al mismo tiempo
    El experimento consistía en un gato en una caja donde, si hay un electrón dentro de la caja se rompe un veneno Lo que se observa es que, como el electrón esta afuera y dentro al mismo tiempo, el gato esta vivo y muerto a la vez.
  • Heisenberg principio de inceridumbre

    La interpretación de Copenhague incorpora el principio de indeterminación, el cual establece que no se puede conocer simultáneamente con absoluta precisión la posición y el momento de una partícula.
  • Broglie

    Davison y Germen hicieron un experimento confirmando la hipótesis de Broglie. El experimento demostró que las partículas tenían propiedades típicas de las ondas, como la difracción y las interferencias.
  • Werner Heisenberg nobel

    Fue galardonado con el Premio Nobel de Física gracias al principio de incertidumbre ya que esto fue muy importante para el desarrollo de la mecánica cuántica y en el progreso del pensamiento filosófico.
  • Schrödinger nobel

    Gano el premio nobel por el desarrollo de la ecuacion de Schrödinger ademas de desarrollar el exerimento mental "el gato de Schrödinger".
  • Heisenberg "bomba atómica"

    Se reclutaron a los mejores físicos para estudiar las posibles implicaciones bélicas de la fisión nuclear. Heisenberg elaboro un informe que sostenía que la construcción de una bomba nuclear mediante la separación de isotopos de uranio o la producción de plutonio en un reactor era, en un principio, factible pero ambas vías necesitarían de muchos años. El ejército opto por seguir a Heisenberg con la idea de la bomba.
  • Oppenheimer "proyecto Manhattan"

    Este proyecto fue llevado durante la Segunda Guerra Mundial por EEUU con ayuda del Reino Unido y Canadá. El objetivo era el desarrollo de la primera bomba atómica.
  • Oppenheimer "bomba nuclear"

    Fue detonada la primera bomba nuclear el 16 de julio de 1945 en EEUU pero Oppenheimer declaro que lamentaba el fallecimiento de victimas inocentes cuando estas fueron lanzadas contra los japoneses.
  • Stephen Hawking y Penrose 1967 probaron la formación de los agujeros con las ecuaciones de relatividad

    según la teoría general de la relatividad, tuvo que haber en el pasado del Universo un estado de densidad infinita, donde toda la materia y energía estaban concentradas en un espacio mínimo.
  • Stephen Hawking y Pen Rose

    Quisieron describir los fundamentos del espacio, y su infinita expansion, utilizando la geometria diferencial para examinar las consecuencias dela teoria de la relatividad general del fisico Albert Einstein.
  • Subrahmanyan y Chandrasekharn (nobel)

    Reexamino el colapso de las estrellas al final de su vida. Este trabajo concluyo con la publicacion de la que quizas sea su obra mas famosa: The Mathematical Theory of Black Holes (1983)
  • Telescopio del horizonte de sucesos

    La colaboracion del telescopio Horizonte de Sucesos publico su primera imagen de la sombra de un agujero negro, en concreto de M87, el objeto supermasivo situado en el centro de la galaxia M87

A list shows items. A timeline shows sequence.

Use Timetoast to make dates, milestones, and turning points easier to understand in a clear visual format. Timetoast is a timeline maker for work, school, research, and stories.