Física Moderna

  • Experimento de la doble rendija - Young

    Experimento de la doble rendija - Young

    El objetivo de este experimento era comprobar la naturaleza ondulatoria de la luz.
    a) Si la luz consistía en partículas, se esperaba ver dos líneas sobre la pantalla.
    b) En realidad, se observan muchas líneas.
    Cuando no se sabe la posición de las partículas, la onda existe en todo el lugar y por ende, interfiere consigo misma creando el patrón de interferencia ondulatoria (muchas líneas de distintas densidades).
    Con el paso del tiempo, distintos físicos van a explicar mejor este experimento.
  • Las ecuaciones de Maxwell

    Las ecuaciones de Maxwell

    Maxwell unió el magnetismo y la electricidad en 4 ecuaciones complejas (alto nivel de matemática) que describen los fenómenos electromagnéticos.
    Las ecuaciones de Maxwell se pueden formular de distintas maneras: de forma integral o de forma diferencial, y también, dependiendo de si la onda se propaga por el vacío o por un material.
    A partir de ellas, se pueden desarrollar la mayoría de las fórmulas de trabajo en el campo.
    Fue Maxwell quien definió la velocidad de la luz (300.000 km/s).
  • Experimento de Michelson y Morley

    Experimento de Michelson y Morley

    Orientaron de dos maneras distintas su experiencia: una, situada como la rotación de la Tierra (se podía sumar la velocidad de esta) y otra, no dispuesta como la rotación de la Tierra. Como resultado, esperaban dos respuestas distintas, sin embargo, eso no sucedió.
    El resultado fue el mismo: el rayo de luz horizontal llegó antes que el vertical.
    Como conclusión, se entendió que la velocidad de la luz es absoluta y no relativa, contradiciendo a Galileo y su relatividad (1887).
  • Constante de Planck: cuantos de energía

    Constante de Planck: cuantos de energía

    Planck descubrió que la energía no es emitida ni absorbida de forma continua (como establecía Maxwell), sino en pequeñas cantidades a las que denominó cuantos (mínima cantidad de energía).
    La ecuación de Planck significó el “inicio” de la mecánica cuántica, ya que unificó dos conceptos: el de partícula y el de onda.
    Por lo tanto, cualquier valor de energía que se me ocurra, siempre tiene que ser múltiplo de esta constante.
  • Lorentz y Zeeman: Premio Nobel

    Lorentz y Zeeman: Premio Nobel

    Ganaron el Premio Nobel por las investigaciones acerca de la influencia del magnetismo sobre los fenómenos de radiación.
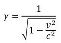
  • Transformaciones de Lorentz

    Transformaciones de Lorentz

    Lorentz desarrolló la constante “Y” o contante gama, la cual se dedica a las transformaciones para cuando un objeto se moviliza cerca de la velocidad de la luz, o, a velocidades muy altas.
    Esto modifica muchas cosas, como, por ejemplo, la masa del objeto (la cual aumenta).
    Gracias a estas transformaciones se estableció la base matemática de la teoría de la relatividad especial de Einstein.
  • Relatividad especial de Albert Einstein

    Relatividad especial de Albert Einstein

    Mediante distintos experimentos, Einstein comprendió que, si la velocidad de la luz es constante e independiente de la velocidad de cualquier observador, lo que se modifica con el movimiento, es el tiempo y el espacio.
    Esta teoría de la relatividad especial contaba con un gran problema: no tenía en cuenta a la aceleración/gravedad.
  • Modelo atómico de Rutherford

    Modelo atómico de Rutherford

    Según Rutherford:
    - El átomo estaba formado por un pequeño núcleo con el total de las cargas positivas (protones), y alrededor se encontraban girando los electrones (con distintas trayectorias).
    - El átomo poseía la mayor parte de la masa en el núcleo (aportada por protones y neutrones), y luego tenía varios espacios vacíos.
    - El átomo era eléctricamente neutro debido a que había tanto electrones en la zona externa como protones en el núcleo.
  • Modelo atómico de Bohr

    Modelo atómico de Bohr

    Núcleo y electrones en orbitas.
    - Electrones se encuentran en órbitas circulares alrededor del núcleo. Se encuentran en niveles definidos de energía y a distancias fijas.
    - Órbitas: tienen un número determinado de electrones (configuraciones electrónicas).
    - Electrones pueden saltar de nivel o de órbita, ganando o perdiendo energía. Si pierde, desprende la energía como un fotón (luz).
    - El salto de electrones se denomina salto cuántico para hacer referencia a un cambio o movimiento brusco.
  • Relatividad general de Albert Einstein

    Relatividad general de Albert Einstein

    En esta relatividad, Einstein si incluyó la aceleración.
    Él propuso que la unión entre el espacio-tiempo y la gravedad era la geometría.
    Es decir, lo que concluyó Einstein con su teoría es que, en presencia de una masa, el espacio-tiempo se deforma, de modo que cualquier otra masa nota ese espacio deformado y se ve obligada a seguir trayectorias diferentes a cuando el espacio estaba sin deformar (espacio plano).
    Esto puede comprobarse con la experiencia del astrofísico, Carl Sagan.
  • Concentración de la masa de las estrellas y su radio: Schwarzschild

    Concentración de la masa de las estrellas y su radio: Schwarzschild

    Afirmó que el radio de las estrellas implicaba el radio de acción según la masa, y para comprobarlo, realizó un cálculo en donde de acuerdo con la masa de la estrella, se podía saber cuánta deformación de tiempo/espacio iba a haber.
    Por lo tanto, su conclusión fue que el radio de la deformación es proporcional/depende de la masa.
    Esta fue la primera solución encontrada para las ecuaciones de la relatividad general siendo Schwarzschild el primero intentar describir lo que es un agujero negro.
  • Planck: Premio Nobel

    Planck: Premio Nobel

    Ganó el Premio Nobel por el planteamiento de la constante de Planck (constante física relacionada con la mecánica cuántica)
  • Einstein: Premio Nobel

    Einstein: Premio Nobel

    Ganó el Premio Nobel por el fenómeno fotoeléctrico (no por las teorías de relatividad).
    El fenómeno fotoeléctrico explica que los fotones impactan con los electrones de un metal arrancando sus átomos, dado origen a una corriente eléctrica.
    Este fenómeno es la tecnología que nos permite desarrollar energía solar.
  • Bohr: Premio Nobel

    Bohr: Premio Nobel

    Ganó el Premio Nobel por su modelo atómico: la estructura de los átomos y la radiación que emana de ellos.
    En 1926, ganó la Medalla Franklin de Física y en 1958, fue el primero en recibir el premio Átomos para la Paz.
  • de Broglie: dualidad onda partícula.

    de Broglie: dualidad onda partícula.

    de Broglie formuló una hipótesis en la que afirmaba que, toda la materia presenta características tanto ondulatorias como corpusculares comportándose de uno u otro modo dependiendo del experimento específico.
    Propuso que, si la luz (que se creía que era una onda) tenía comportamiento de partícula bajo ciertas condiciones, entonces partículas como el electrón también cumplían con esa dualidad.
  • Ecuación de onda de Schrödinger

    Ecuación de onda de Schrödinger

    La ecuación de Schrödinger se trata básicamente de una ecuación de onda, que predice analíticamente y con precisión, la probabilidad de eventos o resultados.
    El resultado detallado no está estrictamente determinado, pero dado un gran número de eventos, la ecuación de Schrödinger predice la distribución de los resultados.
  • Principio de incertidumbre de Heisenberg

    Principio de incertidumbre de Heisenberg

    Heisenberg publicó su "principio de incertidumbre", el cual afirmaba que la posición exacta de un electrón dentro de un núcleo atómico en un momento específico no podía conocerse con certeza, sino que sólo se calculaba estadísticamente dentro de una probabilidad.
    Básicamente, este principio de incertidumbre nos dice que no se puede saber la posición y la velocidad de un objeto (ambas) a la vez.
  • Interpretación de Copenhague

    Interpretación de Copenhague

    La interpretación de Copenhague fue formulada por varios científicos, y su nombre hace alusión a la lectura de la mecánica cuántica considerada tradicional.
    Se realizó específicamente para intentar explicar qué sucedía con la experiencia de la doble rendija de Young y para mediar el dualismo material de "onda" y "partícula" de un modo adecuado a la comprensión humana.
  • de Broglie: Premio Nobel

    de Broglie: Premio Nobel

    Ganó el Premio Nobel de Física por sus trabajos en la naciente Mecánica Cuántica, en particular por el descubrimiento del comportamiento ondulatorio de las partículas (comprobado experimentalmente en 1927 por Davisson y Germer).
  • Colapso de estrellas - Chandrasekhar

    Colapso de estrellas - Chandrasekhar

    A los 19 años, Chandrasekhar desarrolló un cálculo, conocido como “límite de Chandrasekhar”, que permite saber la máxima masa posible de una enana blanca (estrella un poco más grande que la Tierra); y a partir de ella, conocer (si la estrella sobrepasa el límite de aprox. 1,44 masas solares) si se convertirá en un agujero negro o una estrella de neutrones al colapsar (la mayoría de veces, en este último astro).
  • Heisenberg: Premio Nobel

    Heisenberg: Premio Nobel

    Ganó el Premio Nobel de Física gracias a la creación de la mecánica cuántica (a partir de la formulación de matrices o mecánica matricial) logrando explicar básicamente todo el mundo microscópico. Además, él fue el autor del principio de incertidumbre. Para este año, Hitler ya se encontraba en el poder alemán instaurando al partido nazi. Cabe recalcar que la física no escapó de los antisemitas que se apoderaron de las instituciones.
  • Schrödinger: Premio Nobel

    Schrödinger: Premio Nobel

    Recibió el Premio Nobel de Física por haber desarrollado la ecuación de Schrödinger, compartido con Paul Dirac.
    Con su teoría del felino dentro de la caja, aportó una manera muy práctica de describir un concepto fundamental de la física cuántica: la dualidad onda–partícula (la cual nos permite, por ejemplo, que un electrón pueda ser onda y partícula a la vez… hasta que lo observamos, cuando ya saldremos de dudas).
  • Heisenberg y la bomba atómica

    Heisenberg y la bomba atómica

    Aunque se cree que Heisenberg nunca estuvo afiliado al partido nazi; al permanecer en Alemania, continuó trabajando para nazis.
    Hitler lo convocó a él y otros científicos con el objetivo de conseguir una forma de energía rentable y utilizable que genere armas de destrucción masiva.
    Fue Heisenberg quien estuvo a cargo de la investigación científica del proyecto de la bomba atómica alemana durante la II Guerra Mundial (intento fallido de un reactor nuclear).
  • Oppenheimer​: colapso gravitatorio

    Oppenheimer​: colapso gravitatorio

    Predijo que una estrella de gran masa podría sufrir un colapso gravitatorio por la influencia de su propia gravedad predominante sobre fuerzas de origen de la estrella haciendo que esta se contraiga notoriamente y, por tanto, se originen: supernovas, estrellas de neutrones o agujeros negros.
    En este planteo usaban la teoría de la relatividad general para, por primera vez en el ámbito de la física moderna, explicar el proceso de formación de un agujero negro.
  • Visita de Heisenberg a Bohr

    Visita de Heisenberg a Bohr

    Estando en Copenhague, Heisenberg visitó a Bohr. Nunca se supo que hablaron realmente. Únicamente, sabemos que la charla termino rápido.
    Lo más factible es que Heisenberg haya comentado a Bohr las intenciones de construir una bomba atómica por parte de la Alemania nazi (razón por la que Heisenberg retrasó el proyecto inventando algún problema).
    Consecuente a esto, Bohr se fue de Alemania y se puso en contacto con Estados Unidos para reportar los estudios de la elaboración de la bomba.
  • Oppenheimer​ y el Proyecto Manhattan

    Oppenheimer​ y el Proyecto Manhattan

    Estados Unidos llevo adelante un proyecto de investigación, el Proyecto Manhattan, durante la segunda Guerra Mundial con ayuda del Reino Unido y Canadá. El objetivo final de este plan también era el desarrollo de la primera bomba atómica y el director asignado fue Oppenheimer.
  • Oppenheimer​: se detona por primera vez la bomba atómica

    Oppenheimer​: se detona por primera vez la bomba atómica

    El primer ensayo atómico exitoso ocurrió en el desierto de Alamogordo, en Nuevo México. El artefacto se llamó Trinity y se trataba de una bomba-A de plutonio, que sería lanzada sobre Nagasaki (Japón) días después.
    En la actualidad este lugar está marcado por un monolito cónico negro de silicio resultado de la fusión de la arena bajo el efecto del calor provocado por la explosión.
  • Hawking y Penrose: relatividad general de Einstein y formación de los agujeros negros

    Hawking y Penrose: relatividad general de Einstein y formación de los agujeros negros

    Demostraron que las ecuaciones de Einstein de la relatividad general eran correctas para predecir la formación de los agujeros negros (dándole la razón, a su vez, a Chandrasekhar), y que en determinados casos no se podía impedir que se crease un agujero negro a partir de un colapso.
    La idea de agujero negro tomó fuerza con los avances científicos y experimentales que llevaron al descubrimiento de los púlsares (estrella de neutrones que emiten radiación periódica).
  • Hawking y Penrose: geometría de los agujeros negros

    Hawking y Penrose: geometría de los agujeros negros

    Descubrieron la forma de los agujeros negros: objetos semi-esféricos, con un volumen perfectamente definido, y, su límite queda fijado por el horizonte de sucesos (región del espacio que envuelve al agujero negro).
    Previamente en 1963, Kerr había demostrado que en un espacio-tiempo de cuatro dimensiones todos los agujeros negros debían tener una geometría casi-esférica determinada por tres parámetros: masa, carga eléctrica total y momento angular.
  • Chandrasekhar: Premio Nobel

    Chandrasekhar: Premio Nobel

    Ganó el Premio Nobel de Física compartido con William Fowler por sus estudios teóricos sobre los procesos importantes en la estructura, desarrollo y evolución de las estrellas.
  • Primera foto de un agujero negro

    Primera foto de un agujero negro

    El 10 de abril de 2019, el consorcio internacional Telescopio del Horizonte de Sucesos presentó la primera imagen de un agujero negro supermasivo ubicado en el centro de la galaxia M87, en la constelación de Virgo, a 500 trillones de km de nuestro planeta.
    Para fotografiarlo, el Telescopio del Horizonte de Sucesos combinó el poder de ocho radiotelescopios alrededor del mundo, que convirtieron a la Tierra en una especie de telescopio gigante.

Plan projects on a visual timeline

Map milestones, phases, deadlines, and key events in one place so the sequence is easier to see and share. Timetoast is a timeline maker for work, school, research, and stories.