Fisica clasica

Física Clásica

  • 287 BCE

    MC: Arquímides, Mecánica

    Fue el verdadero creador de la mecánica teórica, creador del sistemas de palancas y poleas.
  • 476

    Caída del imperio romano

  • 1065

    Creación de la abadía de Westminster

  • 1440

    Creación de la imprenta

  • Descubrimiento de América
    1492

    Descubrimiento de América

  • 1508

    Creación de la capilla sixtina

  • Mecánica clásica (MC): Ley de los cuerpos que caen

    Mecánica clásica (MC): Ley de los cuerpos que caen

    Galileo Galilei propone que dos cuerpos de diferentes pesos caen al mismo tiempo, sin importar la diferencia.
  • MC: Kepler y el movimiento de planetas

    Kepler desarrolla la teoría del movimiento de planetas en forma elíptica y describe de manera cualitativa la ley de la gravitación universal.
  • MC: Blaise Pascal, Principio de Pascal

    MC: Blaise Pascal, Principio de Pascal

    La presión ejercida en cualquier lugar de un fluido encerrado e incompresible se transmite por igual en todas las direcciones en todo el fluido, es decir, la presión en todo el fluido es constante.
  • Luis XIV

  • Revolución industrial

  • Creación de la Royal Society

  • MC: Issac Newton Principia Mathematica

    MC: Issac Newton Principia Mathematica

    Sir Issac Newton describe las leyes desarrolló las leyes de la mecánica (la ahora llamada mecánica clásica), que explican el movimiento de los objetos en forma matemática y la ley de la gravitación universal
  • MC: Euler y sistemas de coordenadas

    MC: Euler y sistemas de coordenadas

    Coordenadas angulares de los cuerpos rígidos
  • T: Fahrenheit

    Inventó el termómetro de mercurio
  • MC: Antoine Lavosier

    MC: Antoine Lavosier

    “La masa no se crea ni se destruye, sólo se transforma”. En una reacción química la suma de la masa de los reactivos es igual a la suma de la masa de los productos.
  • MC: Lagrange

    MC: Lagrange

    Aporto un documento de la teoría de la propagación de sonido; indica un error cometido por Newton, obtiene la ecuación diferencial general para el movimiento, y halla la solución para el movimiento en línea recta.
  • Nace Bethoveen

  • EM: Charles Agustin de Coulomb, Ley Coulomb

    EM: Charles Agustin de Coulomb, Ley Coulomb

    Inventó la balanza de torsión con la cual, midió con exactitud la fuerza entre las cargas eléctricas. Con este invento, Coulomb pudo establecer el principio, conocido ahora como Ley de Coulomb: la fuerza entre las cargas eléctricas es proporcional al producto de las cargas individuales e inversamente proporcional al cuadrado de la distancia que las separa.
  • EM: Michael Faraday

    Michael Faraday creó el motor eléctrico, y fue capaz de explicar la inducción electromagnética, que proporciona la primera evidencia de que la electricidad y el magnetismo están relacionados. También descubrió la electrólisis y describió la ley de conservación de la energía. de 1791 a 1867
  • EM: Joseph Henry, Inducción electromagnética

    Las investigaciones de Joesph Henry sobre inducción electromagnética, fueron realizadas al mismo tiempo que las de Faraday. Él construyó el primer motor; su trabajo con el electromagnetismo condujo directamente al desarrollo del telégrafo.
  • MC: Tomas Young, teoría ondulatoria de la luz

    MC: Tomas Young, teoría ondulatoria de la luz

    Thomas Young desarrolló la teoría ondulatoria de la luz y describió la interferencia de la luz.
  • Guerras Napoleónicas

  • T: Primer barco de vapor

    T: Primer barco de vapor

    Robert Fulton puso en funcionamiento el primer barco de vapor de éxito comercial.
  • EM: Andrew- Marie Ampere

    Establece los principios de la electrodinámica
  • T: Entropía

    T: Entropía

    En la década de 1850, Rudolf Clausius estableció el concepto de sistema termodinámico y postula la tesis de que en cualquier proceso irreversible una pequeña cantidad de energía térmica δQ se disipa gradualmente a través de la frontera del sistema.
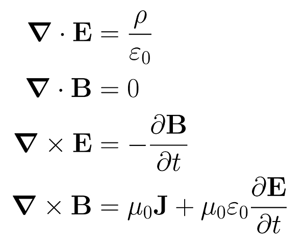
  • EM: Ecuaciones de Maxwell

    EM: Ecuaciones de Maxwell

    En 1865, Maxwell publicó un artículo titulado 'Una teoría dinámica del campo electromagnético' en el que aparecieron por primera vez las ecuaciones hoy mundialmente famosas y conocidas como 'ecuaciones de Maxwell'
  • EM: George Stoney, Electrón

    EM: George Stoney, Electrón

    George Stoney desarrolló una teoría del electrón y estimó su masa.
  • EM: Alexander Graham Bell

    Inventó el teléfono
  • EM: Edison, bombilla

    EM: Edison, bombilla

    Tomas Edison logra construir una lámpara incandescente en la que un filamento de carbón produce luz al pasar una corriente eléctrica
  • Primer Avión

  • primer auto del mundo

  • EM: Nicola Tesla

    EM: Nicola Tesla

    Nikola Tesla concibe la utilizacion de corrientes alternas para producir unos campos magneticos aleatorios
  • EM: Joseph Thompson, modelo atómico

    EM: Joseph Thompson, modelo atómico

    Joseph Thompson midió el electrón, y desarrolló su modelo "de la torta con pasas" del átomo -- dice que el átomo es una esfera con carga positiva uniformemente distribuida, con pequeños electrones negativos como pasas adentro.
  • T: Radiación del cuerpo negro

    T: Radiación del cuerpo negro

    Lo propone Plank
    La "Radiación de cuerpo negro" o "radiación de cavidad" se refiere a un objeto o sistema que absorbe toda la radiación incidente sobre él, y re-irradia energía que es característica solamente de este sistema radiante, no dependiendo del tipo de radiación que incide sobre ella.
  • T: Efecto fotoeléctrico

    T: Efecto fotoeléctrico

    Albert Einstein sostiene que la realidad de los quanta podría explicar el efecto fotoeléctrico.
  • MC: Einstein, teoría gravitacional

    MC: Einstein, teoría gravitacional

    Einstein desarrollò su propia teorìa gravitacional
  • T: Teoría Cinética de los gases

    Sydney Chapman y David Enskog desarrollan sistemáticamente la teoría cinética de los gases.
  • T: Lineas espectrales modificadas

    T: Lineas espectrales modificadas

    Einstein considera la termodinámica de las líneas espectrales atómicas y predice la emisión estimulada.
  • Primera Guerra Mundial

  • T: Ecuación de Ionización

    Megh Nad Saha declara su ecuación de ionización
  • Segunda Guerra Mundial

  • EC: Ernest Lawrence, cyclotron

    EC: Ernest Lawrence, cyclotron

    Ernest Lawrence construyó el primer cyclotron, un acelerador de partícula circular que usaba campos magneticos y electricos para incrementar la energía de particulas cargadas.
  • Llegada a la luna

  • T: Entropía en agujeros negros

    T: Entropía en agujeros negros

    Jacob Bekenstein sugiere que los agujeros negros tienen una entropía proporcional a su área superficial.
  • T: Agujeros Negros

    T: Agujeros Negros

    Stephen Hawking predice que los agujeros negros podrían radiar partículas con un espectro de cuerpo negro que pueden causar la evaporación de un agujero negro.
  • Atentado a las torres gemelas

  • MC: LIGO

    MC: LIGO

    Detección de ondas gravitacionales.

Want to make a timeline like this?

Use Timetoast to turn dates, events, milestones, and phases into a clear visual timeline you can build and share. Timetoast is a timeline maker for work, school, research, and stories.