Física. Karen Michell Ruiz y Ana Ximena Robles Martinez.

  • Arquímedes
    218

    Arquímedes

    Sus aportes más destacados son el principio de Arquímedes, el desarrollo de el método de exhaución, el estudio de la palanca la palanca es una máquina simple que fue utilizada desde tiempos muy anteriores a Arquímedes, fue éste quien formuló el principio que explica su funcionamiento en su tratado Sobre el equilibrio de los planos., el método mecánico o la creación de primer planetario. Actualmente es considerado una de las tres figuras más importantes de la matemática de la antigüedad.
  • Period: to

    Johanes Kepler

    Formulo y verifico las leyes del movimiento planetario conocidas como leyes de Kepler. 1-Todos los planetas se desplazan alrededor del Sol describiendo órbitas elípticas estando el Sol situado en uno de los focos. 2-El radio vector fue une un planeta y el Sol barre áreas iguales en tiempos iguales. 3.Para cualquier planeta el cuadrado de su periodo orbital es directamente proporcional al cubo de la longitud del semejante mayor de su órbita elíptica.
  • Galileo Galei

    Galileo Galei

    Realizo notables aportaciones físicas, por ejemplo, demostró la falsedad del postulado aristotélico que afirmaba que la aceleración de la caída de los cuerpos -en caída libre- era proporcional a su peso, y conjeturó que, en el vacío, todos los cuerpos caerían con igual velocidad. Mejoro el telescopio y un apoyo determinante a la Revolución de Cópernico
  • Newton

    Newton

    Newton define gran cantidad de conceptos claves en Física, como materia o fuerza y también enuncia las tres leyes de la dinámica, también llamadas leyes de Newton.La ley de la inercia, viene a decir que si dejamos las cosas tranquilas, no habrá ningún cambio en como se mueven. ley de la fuerza explica cómo varían las propiedades del cuerpo al aplicarle fuerzas.Ley de acción y reacción, Al aplicar una fuerza a un cuerpo, el cuerpo aplica también una fuerza de igual magnitud en nosotros
  • James Maxwell

    James Maxwell

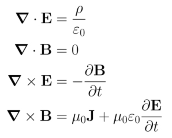
    Surgen de la teoría electromagnética Representan una de las formas mas elegantes y concisas de establecer los fundamentos de la Electricidad y el Magnetismo.
    Estas ecuaciones básicas de la electricidad y el magnetismo se puede utilizar como punto de partida para los cursos avanzados, pero generalmente se encuentran por primera vez después del estudio de los fenómenos eléctricos y magnéticos, en forma de ecuaciones unificadoras.
  • Simon Ohm

    Simon Ohm

    La ley de Ohm, postulada por el físico y matemático alemán Georg Simon Ohm, es una ley básica de los circuitos eléctricos. Establece que la diferencia de potencial V que aplicamos entre los extremos de un conductor determinado es proporcional a la intensidad de la corriente I que circula por el citado conductor. Ohm completó la ley introduciendo la noción de resistencia eléctrica R; que es el factor de proporcionalidad que aparece en la relación entre V I
  • Heinrich Hertz-El efecto fotoeléctrico

    Heinrich Hertz-El efecto fotoeléctrico

    El efecto fotoeléctrico es el fenómeno en el que las partículas de luz llamadas fotón, impactan con los electrones de un metal arrancando sus átomos. El electrón se mueve, dando origen a una corriente eléctrica. Este fenómeno es aprovechado en las plantas que utilizan paneles solares, los cuales reciben la energía lumínica del sol transformándola en electricidad.
  • Albert Abraham Michelson  y Edward Morley

    Albert Abraham Michelson y Edward Morley

    Sus autores intentaban medir la velocidad con que se movía la Tierra con respecto al éter lumifero. El resultado del experimento fue nulo. El éter no sólo no existía sino que con su resultado negativo suministraron la evidencia experimental para una nueva concepción de las leyes de la Naturaleza que años más tarde se conocería como la Teoría de la Relatividad Especial de Einstein.
  • James Prescott Joule

    James Prescott Joule

    Aporto importantes investigaciones como en la termodinámica, electricidad y energía, además ayudo a desarrollar la escala absoluta de la temperatura pero por sobre todo es el creador de la ley de joule que describe que si los electrones circulan por un conductor que pasan por una corriente de energía, parcialmente esta misma energía cinetica se transformara parcialmente en calor
    La unidad internacional de energía, el calor y trabajo, el joule, fue bautizada en su honor.
  • Max Planck-Teoría cuántica.

    Max Planck-Teoría cuántica.

    Dijo que la energía estaba radiada en pequeños paquetes en lugar de en ondas continuas ininterrumpidas, y a este paquete lo nombró quanta.
    También fue capaz de determinar cuánta energía había en cada uno de estos paquetes gracias a la constante de Planck.
    Creo los transistores.
  • Albert Einstein-Teoría de la relatividad

    Albert Einstein-Teoría de la relatividad

    La localización de los sucesos físicos, tanto en el tiempo como en el espacio, son relativos al estado de movimiento del observador.
    teoría que describe bien el movimiento de los cuerpos, pero solo a velocidades constantes, y en un espacio plano, de tres dimensiones espaciales y una temporal.
  • Erwin Schrödinger-Modelo mecánico cuántico del átomo.

    Erwin Schrödinger-Modelo mecánico cuántico del átomo.

    Schrödinger utilizó ecuaciones matemáticas para describir la posibilidad de localizar un electrón en una ubicación o lugar determinada. A diferencia del modelo de Bohr, el modelo mecánico cuántico no define la ruta exacta de un electrón, sino que predice las probabilidades de la ubicación del electrón.
  • Peter Higgs-Bosón de Higgs

    Peter Higgs-Bosón de Higgs

    Higgs desarrolla la idea de que las partículas no tenían masa al comienzo del universo adquiriendo la misma, una fracción de segundo después, como resultado de la interactuación con un campo teórico, ahora conocido como el campo de Higgs. Higgs desarrolla la idea de que las partículas no tenían masa al comienzo del universo adquiriendo la misma, una fracción de segundo después, como resultado de la interactuación con un campo teórico, ahora conocido como el campo de Higgs.
  • Richard Feynman

    Richard Feynman

    Fue un físico teórico estadounidense conocido por su trabajo en la formulación mediante las integrales de camino de la mecánica cuántica, la teoría de la electrodinámica cuántica y la física de la superfluidez del helio líquido subenfriado, así como en la física de partículas para el que propuso el modelo Partón.
  • Stephen Hawking

    Stephen Hawking

    El trabajo que hizo Hawking sobre los agujeros negros ayudó a probar la idea de que hubo una Gran Explosión o Big Bang al principio de todo.
    Fue quizá su "teoría del todo", que sugiere que el universo evoluciona según leyes bien definidas, la que atrajo la mayor atención.
  • Antecedentes

    Antecedentes

    El ser humano siempre ha tratado de informarse y explicarse acerca de los fenómenos del mundo que los rodean.
    El fuego les causaba temor; pero posteriormente aprendieron a utilizarlo como un satisfactor de sus necesidades y a producirlo en forma controlada. El hombre inventó la rueda, construyó canales de riego, chozas y embarcaciones guiadas por el viento en ríos importantes como el Nilo y el Éufrates; esto hace más de 7000 años

A list shows items. A timeline shows sequence.

Use Timetoast to make dates, milestones, and turning points easier to understand in a clear visual format. Timetoast is a timeline maker for work, school, research, and stories.