Isaac newton

eventos históricos importantes de isaac newton

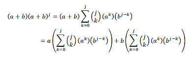
  • Teorema del binomio

    Teorema del binomio

    Aplicando los métodos de Wallis de interpolación y extrapolación a nuevos problemas, Newton utilizó los conceptos de exponentes generalizados mediante los cuales una expresión polinómica se transformaba en una serie infinita. Así estuvo en condiciones de demostrar que un buen número de series ya existentes eran casos particulares, bien directamente, bien por diferenciación o integración.
  • Desarrollo de calculo

    Newton comparte con Leibniz el crédito por el desarrollo del cálculo integral y diferencial, que utilizó para formular sus leyes de la física. También contribuyó en otras áreas de la matemática, desarrollando el teorema del binomio y las fórmulas de Newton-Cotes.
  • Ley del inverso al cuadrado

    Ley del inverso al cuadrado

    Momento culminante en la historia de la física fue el descubrimiento realizado por isaac newton:todos los objetos se atraen unos a otros con una fuerza directamente proporcional al producto de sus masas e inversamente proporcional al cuadrado de la distancia que separa sus centros.
  • Ingreso a la royal society

    Ingreso a la royal society

    Newwton ingresa a la royal society que reune a los principales cientificos ingleses.
  • Teoría sobre la composición de la luz y sus colores

    Teoría sobre la composición de la luz y sus colores

    Newton desarrolló en gran medida los problemas que existían con la óptica y la naturaleza de la luz. Demostró mediante la proyección de una luz blanca, a través de un prisma, que estaba formada por una banda de colores (rojo, naranja, amarillo, verde, cian, azul y violeta). Tras este descubrimiento concluyó que cualquier telescopio refractor experimentaría una aberración cromática, que consiste en la dispersión de la luz en diferentes colores al atravesar una lente.
  • Ley de la gravitación

    Newton dijo de que los cuerpos pesaban en la Tierra y que los astros giraban en torno la Luna en torno a la Tierra, la Tierra y los demás planetas en torno al Sol, había una fuerza universal que actuaba en todos lados que hacía que los cuerpos se atrajeran entre sí. Esta fuerza se manifestaría tanto en la atracción de un cuerpo por la Tierra su atracción entre cuerpos del Sistema Solar y de todo el universo que les hace girar unos en torno a los otros. La llamó fuerza de gravitación
  • Principios matematicos

    Principios matematicos

    aparece su obra más importante, Principios matemáticos de la filosofía natural, los Principia, obra que consta de tres libros: los dos primeros establecen las bases teóricas de la mecánica
  • diputado en el parlamento

    diputado en el parlamento

    newton es elegido como diputado del parlamento
  • Casa de la moneda

    Casa de la moneda

    newton fue nombrado guardián de la casa de la moneda
  • collins

    collins

    envía a collins su análisis per aequationes numero terninorum infinitos

A list shows items. A timeline shows sequence.

Use Timetoast to make dates, milestones, and turning points easier to understand in a clear visual format. Timetoast is a timeline maker for work, school, research, and stories.