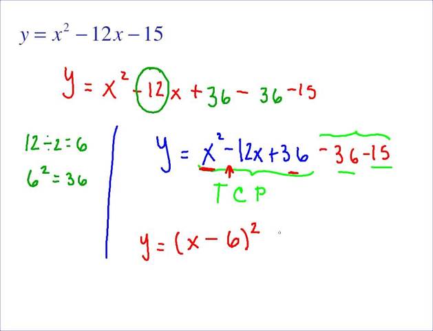
Elementos de Geometría Analítica By javierqv May 1, 2015 Inicio - Instructivo de Ingreso a la Plataforma Instructivo May 1, 2015 Contenidos https://docs.google.com/document/d/1hb4k1R4YeZZarr36PCODbDuAnykqdbzouIKp_m_VCIY/pub May 3, 2015 Presentación de la Unidad| https://www.youtube.com/embed/foBuoZwa9Xs May 3, 2015 Guía de Aprendizaje https://drive.google.com/open?id=0B83iqyb-cc6gYlNQRnQtenFNWGM&authuser=0 May 3, 2015 Introducción a las conicas https://www.youtube.com/embed/KSJposN6NuQ May 5, 2015 Mapa Conceptual https://drive.google.com/open?id=0B83iqyb-cc6gQ21LeWJGcFdEZGM&authuser=0 May 5, 2015 Circunferencia Presentación http://www.e-matematica.com.ar/documentos/circunferencia/story.html May 6, 2015 Actividades Prácticas https://docs.google.com/document/d/17DOzHqO6wHgn_ohkBfU4316IHOV8M5eEJ0cY_UoNf4Y/edit?usp=sharing May 7, 2015 Ecuación de la Circunferencia May 7, 2015 Bloq Cónicas - Circunferencia http://conicas2014.blogspot.com.ar/ May 9, 2015 Interacción - Circunferencia - Geogebra http://wiki.geogebra.org/es/Herramienta_de_Circunferencia_(centro-punto) May 9, 2015 Completar cuadrados https://youtu.be/WMA6zPj8nvk