Unknown

El universo

  • Modelo Geocéntrico
    150

    Modelo Geocéntrico

    La teoría geocéntrica o modelo geocéntrico fue un postulado que defendía la tesis de que la Tierra era el centro del universo. Según la teoría, la Tierra se encontraba inmóvil mientras que los planetas y los astros giraban a su alrededor en esferas concéntricas.
  • Modelo Heliocéntrico
    1543

    Modelo Heliocéntrico

    El llamado modelo Heliocéntrico que sitúa el sol en el centro del sistema solar, fue propuesto ya en la antigua Grecia, pero no sería hasta el siglo XVI con el afamado Nicolás Copérnico, cuando mediante un modelo matemático el heliocentrismo fue presentado como tal.
  • Galileo Galilei
    1564

    Galileo Galilei

    Sus logros incluyen la mejora del telescopio, gran variedad de observaciones astronómicas, la primera ley del movimiento y un apoyo determinante a la «Revolución de Copérnico». Ha sido considerado como el «padre de la astronomía moderna», el «padre de la física moderna» y el «padre de la ciencia».
  • Primera y Segunda Ley de Kepler

    Primera y Segunda Ley de Kepler

    Primera ley
    Todos los planetas se desplazan alrededor del Sol describiendo órbitas elípticas. El Sol se encuentra en uno de los focos de la elipse.
    Segunda ley
    El radio vector que une un planeta y el Sol recorre áreas iguales en tiempos iguales.
    La ley de las áreas es equivalente a la constancia del momento angular, es decir, cuando el planeta está más alejado del Sol (afelio) su velocidad es menor que cuando está más cercano al Sol (perihelio).
  • Tercera Ley de Kepler

    Tercera Ley de Kepler

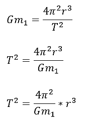
    Para cualquier planeta, el cuadrado de su período orbital es directamente proporcional al cubo de la longitud del semi-eje mayor de su órbita elíptica.
    Donde, T es el período orbital (tiempo que tarda en dar una vuelta alrededor del Sol), a la distancia media del planeta con el Sol y C la constante de proporcionalidad.
    Estas leyes se aplican a otros cuerpos astronómicos que se encuentran en mutua influencia gravitatoria, como el sistema formado por la Tierra y el sol.
  • Nacimiento de Newton

    Nacimiento de Newton

    Isaac Newton nació el 4 de Enero de 1643, en Woolsthorpe, a unos 13 Km. al sur de Grantham, en el Lincolnshire y murió el 31 de marzo de 1727, en Londres, Inglaterra. Fue un físico, teólogo, inventor, alquimista y matemático inglés. Es autor de los Philosophiæ naturalis principia mathematica, más conocidos como los Principia, donde describe la ley de la gravitación universal y estableció las bases de la mecánica clásica mediante las leyes que llevan su nombre.
  • Philosophiae naturalis principia mathematica

    Philosophiae naturalis principia mathematica

    Este trabajo marcó un punto de inflexión en la historia de la ciencia y es considerada, por muchos, como la obra científica más importante de la historia. En el campo de la mecánica recopiló en su obra los hallazgos de Galileo y enunció sus tres famosas leyes del movimiento. De ellas pudo deducir la ley de gravitación universal.
  • Sputnik 1

    Sputnik 1

    La nave Sputnik 1 fue el primer intento exitoso de poner en órbita un satélite artificial alrededor de la Tierra. Se lanzó desde el Cosmódromo de Baikonur en Tyuratam, 371 km al suroeste de la pequeña ciudad de Baikonur, en Kazajistán (antes parte de la Unión Soviética). La palabra sputnik en ruso significa "compañero de viaje" ("satélite" en astronáutica). El nombre oficial completo, se traduce sin embargo como "Satélite Artificial Terrestre" (ISZ por sus siglas en ruso).
  • Apolo 11

    Apolo 11

    Fue una misión espacial tripulada de Estados Unidos cuyo objetivo fue lograr que un ser humano caminara en la superficie de la Luna. La misión se envió al espacio el 16 de julio de 1969, llegó a la superficie de la Luna el 20 de julio de ese mismo año y al día siguiente logró que dos astronautas (Armstrong y Aldrin) caminaran sobre la superficie lunar.

Want to make a timeline like this?

Use Timetoast to turn dates, events, milestones, and phases into a clear visual timeline you can build and share. Timetoast is a timeline maker for work, school, research, and stories.