"Eix Cronològic de la segona fase de la Revolució Industrial"

  • El primer tranvia de toda la historia

    El primer tranvia de toda la historia

    El primer tranvía empezó a funcionar en Gales en 1807. La compañía Oystermouth Railway construyó unos carruajes tirados por caballos que se deslizaban por raíles y transportaban mercancías y pasajeros del puerto de Swansea a los municipios del interior.
  • Quien invento el telegrafo

    Quien invento el telegrafo

    Se cuenta​ que la idea del telégrafo se le ocurrió al pintor estadounidense Samuel Morse un día de 1836, que venía de regreso a su país desde el continente europeo al escuchar casualmente una conversación entre pasajeros del barco sobre electromagnetismo.
  • Ferrocarril

    Ferrocarril

    La primera linea de Ferrocarril Barcelona Mataro 1848
  • El telefono mas antiguo

    El telefono mas antiguo

    El teléfono fue inventado en el año 1854 por el inventor italiano Antonio Meucci.
  • invenció de la dinamo industrial (1869)

    invenció de la dinamo industrial (1869)

    La dinamo va ser el primer generador elèctric
  • El fonograf

    El fonograf

    El fonògraf va ser l'eina més comuna per a enregistrar i reproduir so mecànic des de l'època dels 1870 fins a la dècada dels 80.
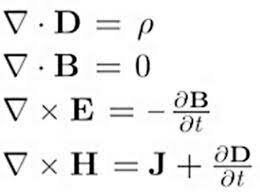
  • Las primeras equaciones creadas

    Las primeras equaciones creadas

    En 1865, Maxwell publicó un artículo titulado 'Una teoría dinámica del campo electromagnético' en el que aparecieron por primera vez las ecuaciones hoy mundialmente famosas y conocidas como 'ecuaciones de Maxwell'.
  • Turbina de Vapor

    Turbina de Vapor

    La turbina de vapor fue desarrollada por Sir Charles Parsons en 1884. Hizo posible la electricidad más barata y revolucionó el transporte marítimo.
  • El transformador (1897)

    El transformador (1897)

    Van fer possible el trasllat del corrent.
  • El medicamento mas antiguo

    El medicamento mas antiguo

    Quora. En el 1897
  • La bombeta mas antiga de todo el mundo

    La bombeta mas antiga de todo el mundo

    Es una bombilla que lleva desde 1901 encendida y todavía no se ha apagado.
  • Una nova organització de la producció

    Una nova organització de la producció

    Fabricació i preu dels automòbils Ford.
  • Avion

    Avion

    La humanidad siempre habia soñado con sobrevolar el cielo con inspiraciones de la maquina voladora de Leonardo da Vinci y míticas alas de cera de Daedalus e Ícaro.
  • primera radio del mundo

    primera radio del mundo

    El primer aparato de radio de la historia fue la radio galena, inventada en 1910 por los estadounidenses
  • El domini del comerç i les finances internacionals

    El domini del comerç i les finances internacionals

    Al final del segle XIX, els països industrials dominaven el comerç mundial.

A list shows items. A timeline shows sequence.

Use Timetoast to make dates, milestones, and turning points easier to understand in a clear visual format. Timetoast is a timeline maker for work, school, research, and stories.