Images (9)

Diseño y optimización de ciclones para colección de material particulado

  • Origen de la contaminación por efecto de material particulado

    Origen de la contaminación por efecto de material particulado

    Durante la Revolución Industrial condujo a la emisión de cantidades significativas de contaminantes del aire a través de la combustión de una variedad de combustibles fósiles (carbón, petróleo y gas) . En particular, la contaminación del aire en Londres durante los siglos XIX y XX se volvió particularmente problemática, misma que se fue extendiendo por todo el mundo (Seigneur, 2019).
  • Patente del primer separador de partículas

    Patente del primer separador de partículas

    La revisión de la historia de los ciclones muestra que el primer separador ciclónico fue patentado en 1885 por Finch (Slack et al., 2000)
  • La tecnología de separación gana terreno en la industria

    Durante la década de 1900, esta tecnología encontró un gran atractivo industrial al ofrecer una separación a gran escala en fábricas o molinos (Dyson, 2018).
  • 1905

    A otro inventor estadounidense, OM Morse, se le otorgó una patente similar en 1905 por un nuevo “colector de polvo” que desarrolló para reducir las “explosiones de polvo” en los molinos harineros. A pesar de sus nombres que suenan delicados, estas explosiones son todo lo contrario. Esencialmente, encienden rápidamente todas las partículas no atrapadas, convirtiendo el aire en una bola de fuego (Dyson, 2018).
  • Expansión de los ciclones a la industria petrolera

    En la década de 1920, los separadores se usaban a mayor escala que nunca, incluso en refinerías de petróleo donde separaban aceites y gases, o en plantas de tratamiento de aguas residuales donde los 'hidroclones' adaptados eliminaban los desechos sólidos de los líquidos (Dyson, 2018).
  • Primer modelo de ciclón de gas

    Primer modelo de ciclón de gas

    Boysan et al. (1983) publicaron los resultados del primer modelo de ciclones de gas. Utilizaron el modelo de estrés algebraico para calcular seis componentes del estrés de Reynolds (Ma et al., 2000).
  • Fluidodinámica computacional aplicada a los ciclones

    Fluidodinámica computacional aplicada a los ciclones

    Boysan et al. (1982) emplea la dinámica de fluidos computacional (CFD) para simular separadores ciclónicos utilizando el modelo de tensión de Reynolds (RSM).
  • Mejoramiento en modelos matemáticos de CFD aplicado a ciclones

    Mejoramiento en modelos matemáticos de CFD aplicado a ciclones

    Slack et al. (2000) aplicaron el RSM y la simulación de grandes remolinos (LES) para el modelado de ciclones en una cuadrícula 3D no estructurada y compararon los resultados de la simulación con los obtenidos del velocímetro difuso Doppler (Wang et al ., 2006).
  • Análisis de los efectos de presión en ciclones

    Análisis de los efectos de presión en ciclones

    Wang et al. (2006) desarrollaron ecuaciones analíticas para el número de vueltas efectivas de partículas en vórtices dentro de un ciclón e investigaron los factores que afectan la caída de presión del ciclón. Sus resultados mostraron un aumento en la caída de presión, cuando el diámetro de las partículas y la tasa de rociado aumentaron.
  • Efectos de las partículas en modelos lagrangianos

    Efectos de las partículas en modelos lagrangianos

    Chu et al. (2009) investigó los métodos CFD para el seguimiento de partículas lagrangianas en ciclones de medio denso (DMC).
  • Inicios en optimización de ciclones

    Inicios en optimización de ciclones

    Vincent et al. (2014) optimizaron los DMC para inyectar una cantidad adecuada de partículas más gruesas en el ciclón. Descubrieron que los ciclones más largos y más anchos ofrecen una mayor eficiencia y una mayor capacidad, respectivamente.
  • Estudios de optimización en vórtice de ciclón

    Estudios de optimización en vórtice de ciclón

    Xiong et al. (2014) analizaron seis ciclones con diferentes diseños para el cilindro de salida (buscador de vórtices) tanto numérica como experimentalmente. Según sus resultados, los ciclones con buscador de vórtice cónico fueron más eficientes que los de salida cilíndrica. Además, se observó una menor caída de presión (27 %) y una mayor eficiencia (en un 9 %) en el ciclón con sección de salida ranurada en comparación con el de salida cónica.
  • Estudio de optimización en las variables de entrada y salida del ciclón

    Estudio de optimización en las variables de entrada y salida del ciclón

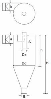
    Hsiao et al. (2015) investigó los efectos de las secciones de entrada y salida, y la geometría de la sección cónica del ciclón. Según sus resultados, el rendimiento del ciclón se puede mejorar disminuyendo la longitud y aumentando el ancho de la sección cónica. Para lograr una mayor eficiencia, las secciones de entrada y salida deben hacerse, respectivamente, más grandes y más pequeñas en la medida en que la caída de presión no aumente.
  • Estudio sobre el efecto de la longitud de vórtice en ciclones

    Estudio sobre el efecto de la longitud de vórtice en ciclones

    Cancino et al. (2016) investigó la longitud del vórtice formado en el ciclón tanto numérica como experimentalmente. Los resultados mostraron una disminución en el flujo rotacional en dirección axial hacia el fondo del ciclón. Además, las velocidades tangencial y axial se redujeron gradualmente en la misma dirección.
  • Ecuación para estimar longitud de vórtice

    Ecuación para estimar longitud de vórtice

    Se propuso una ecuación para la longitud natural del vórtice basada en la geometría e intensidad del flujo rotacional (Xu et al., 2016).
  • Period: to

    Aplicaciones de la Inteligencia Artificial (IA) a modelos de separación de material particulado

    Se implementan los principios de IA en modelos de ciclones para efectos de optimización de parámetros y eficiencia de colección. Incluye Machine Learning, redes neuronales y algoritmos genéticos (Zhang et al., 2022).
  • Evaluación de CFD con diferentes parámetros o variables

    Evaluación de CFD con diferentes parámetros o variables

    Jairo y Kannan (2019) realizaron una evaluación de dinámica de fluidos computacional del efecto de diferentes configuraciones de apertura en el ambiente térmico de una planta para el procesamiento húmedo de café y comparó los resultados.

Want to make a timeline like this?

Use Timetoast to turn dates, events, milestones, and phases into a clear visual timeline you can build and share. Timetoast is a timeline maker for work, school, research, and stories.