Portada

Descubrimientos físicos

  • ARISTOTELES
    322 BCE

    ARISTOTELES

    TEORÍAS SOBRE LA NATURALEZA DE LA FÍSICA, LUGARES NATURALES: cada elemento querría estar en una posición distinta relativa al centro de la Tierra, que también es el centro del universo
  • Aristarco de Samos
    288 BCE

    Aristarco de Samos

    Sus hipótesis son que las estrellas fijas y el Sol permanecen inmóviles, la tierra gira alrededor del Sol siguiendo la circunferencia de un círculo con el Sol en medio de la órbita, y que la esfera de las estrellas fijas también con el Sol como centro, es tan grande que el circulo en el que supone que la tierra gira guarda la misma proporción a la distancia de las estrellas fijas que el centro de la esfera a su superficie.
  • Claudio Ptolomeo
    127

    Claudio Ptolomeo

    Modelo de universo geocéntrico, la tierra es el centro del universo.
    Su aportación fundamental fue su modelo del Universo: creía que la Tierra estaba inmóvil y ocupaba el centro del Universo, y que el Sol, la Luna, los planetas y las estrellas giraban a su alrededor. A pesar de ello, mediante el modelo del epiciclo-deferente, cuya invención se atribuye a Apolonio, trató de resolver geométricamente los dos grandes problemas del movimiento planetario
  • Nicolas Copernico
    1543

    Nicolas Copernico

    De Revolutionibus Orbium Coelestiumdonde expone su teoría heliocéntrica
  • Tycho Brahe
    1576

    Tycho Brahe

    Por primera vez se demostró que las esferas superlunares no eran en absoluto inmutables, contrariamente a la opinión de Aristóteles.
  • HOJANES KEPLER

    HOJANES KEPLER

    Leyes de Kepler: Describió matemáticamente el movimiento de los planetas en sus órbitas alrededor del Sol.
  • Galileo Galilei

    Galileo Galilei

    Galilei realizó el posiblemente, mayor ejercicio académico de todos los tiempos. Un pulidor de lente holandés llamado Hans Lippershey había descubierto un extraordinario aparato (el telescopio)
  • Ley de la inercia por Galilei

    Ley de la inercia por Galilei

    Según Galileo, el movimiento se producía gracias a la aplicación de una “fuerza” y que si ésta no formaba parte del sistema, el cuerpo estaría en “reposo”. Además, también concluyó que los objetos son capaces de resistir cambios en su movimiento, por lo tanto descubrió la “inercia”
  • Christopher Scheiner

    Christopher Scheiner

    Estudió las manchas solares y Aclaró el fenómeno de la forma elíptica del Sol cerca al horizonte, debida a la refracción atmosférica.
  • Kepler Johannes

    Kepler Johannes

    Tablas rudolfinas . Basándose en los datos de Brahe, las nuevas tablas del movimiento planetario reducen los errores medios de la posición real de un planeta de 5° a 10º. Más adelante, Isaac Newton se basó en las teorías y observaciones de Kepler para formular su ley de la gravitación universal.
  • René Descartes

    René Descartes

    Ha sido considerado como el padre del mecanicismo tras sus grandes aportes
  • Ultima publicación de Galileo Galilei

    Ultima publicación de Galileo Galilei

    Publicación de su último libro afina sus primeros estudios sobre el movimiento y los principios de la mecánica en general. Este libro abrió el camino que llevó a Newton a formular la ley de la gravitación universal, que armonizó las leyes de Kepler sobre los planetas con las matemáticas y la física de Galileo.
  • Isaac Newton

    Isaac Newton

    Describió la ley de gravitación de gravitación universal, y estableció las bases de la mecánica clásica mediante las leyes que llevan su nombre.
  • Johannes Hevelius

    Johannes Hevelius

    Utilizó las manchas solares para determinar la rotación solar, acuñó el nombre de fácula para las regiones brillantes alrededror de las manchas
  • Giovanni Battista

    Giovanni Battista

    Estudios de la Luna y el Sol incluyendo manchas solares y eclipses, enfocándose en estos últimos. Además de estudiar el microscopio
  • Christian Huygens

    Christian Huygens

    Pudo deducir las leyes de la reflexión y la refracción, y explicar el fenómeno de la doble refracción.
  • Cassini

    Cassini

    Establece el primer cálculo ajustado a los datos de hoy día (sólo un 7% por debajo del valor actual) de la distancia existente entre la Tierra y el Sol.
  • Teoría corpuscular

    Teoría corpuscular

    Teoría corpuscular por Isaac Newton de la luz naturaleza corpuscular de la luz, así como un estudio detallado sobre fenómenos como la refracción, la reflexión y la dispersión de la luz
  • James Bradley

    James Bradley

    Se denomina aberración de la luz o aberración de Bradley a la diferencia entre la posición observada de una estrella y su posición real, debido a la combinación de la velocidad del observador y la velocidad de la luz.
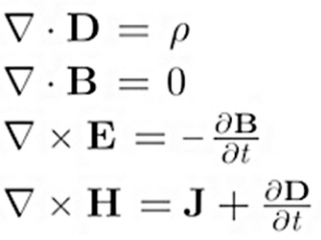
  • James Clerk Maxwell

    James Clerk Maxwell

    Ecuaciones de Maxwell utilizando la teoría del electromagnetismo y pudiendo destacar que la teoría de la luz es una onda electromagnética
  • Albert Abraham Michelson

    Albert Abraham Michelson

    Conocido por sus trabajos acerca de la velocidad de la luz
  • Wilhelm Conrad Röntgen

    Wilhelm Conrad Röntgen

    Produjo radiación electromagnética en las longitudes de ondacorrespondiente a los actualmente llamados rayos X.
  • John Thomson

    John Thomson

    Descubrió el electrón y los isotopos e invento el espectro en masa.
  • Max Planck

    Max Planck

    Planck formuló que la energía se radia en unidades pequeñas separadas que llamamos cuantos. Avanzando en el desarrollo de esta teoría, descubrió una constante de naturaleza universal que se conoce como la constante de Planck. La ley de Planck establece que la energía de cada cuanto es igual a la frecuencia de la radiación multiplicada por la constante universal.
  • Albet Einstein

    Albet Einstein

    Fundamentos de la Teoría General de la Relatividad.
    Explicó el efecto fotoeléctrico y probo la existencia de atómos.
  • Erwin Schrödinger

    Erwin Schrödinger

    Aporta a la mecánica ondulatoria describe matemáticamente el comportamiento de los electrones y los átomos. Pero su ecuación medular, conocida como ecuación de Schrödinger, se caracteriza por su simpleza y precisión para entregar soluciones a problemas investigados por los físicos.
  • Edwen Hubble

    Edwen Hubble

    Ley de Hubble determina que la velocidad de una galaxia es proporcional a su distancia. La relación entre la velocidad de recesión de una galaxia y su distancia es la constante de Hubble
  • Werner K. Heisenberg

    Werner K. Heisenberg

    Principio de incertidumbre comenzó a desarrollar un sistema de mecánica cuántica, denominado mecánica matricial en el que la formulación matemática se basaba en las frecuencias y amplitudes de las radiaciones absorbidas y emitidas por el átomo y en los niveles de energía del sistema atómico.
  • Richard Feynman

    Richard Feynman

    Formuló mediante las integrales de camino de la mecánica cuántica, la teoría de la electrodinámica cuántica y la física de la superfluidez del helio líquido subenfriado, así como en la física de partículas para el que propuso el modelo Partón.
  • Stephen Hawking

    Stephen Hawking

    Stephen Hawking Ha escrito Historia del tiempo: del Big Bang a los agujeros negros
  • Frederick Reines

    Frederick Reines

    Decto el antineutrino en el experimento del neutrino junto con Clyde Cowan. Es considerado el único científico en la historia íntimamente asociado con el descubrimiento y la subsiguiente investigación de una partícula elemental.
  • Robert Betts Laughlin

    Robert Betts Laughlin

    Betts explicacó el efecto Hall cuánticoobservado en sistemas bidimensionales con electrones sometidos a bajas temperaturas y fuertes campos magnéticos, en la que la conductividad σ toma los valores cuantizados
  • Zhorés Ivánovich Alfiórov

    Zhorés Ivánovich Alfiórov

    Zhorés Ivánovich Alfiórov contribuyó significativamente a la creación de las modernas heteroestructuras
  • Raymond Davis Jr

    Raymond Davis Jr

    Raymond Davis Jr tiene contribuciones pioneras a la astrofísica, en particular por la detección de neutrinos cósmicos.
  • Roy Jay Glauber

    Roy Jay Glauber

    Roy Jay Glauber ganó el premio nobel en 2005 por su contribución a la teoría cuántica de coherencia óptica
  • Albert Fert

    Albert Fert

    Albert Fert descubrió la magnetorresistencia gigante. Este efecto físico revolucionó la tecnología de los discos duros, permitiendo un gran incremento de su capacidad

Looking for a timeline maker?

Create timelines for projects, roadmaps, history, lessons, legal cases, and stories with Timetoast. Timetoast is a timeline maker for work, school, research, and stories.