Concepto de Luz y Agujeros Negros

  • Thomas Young

    Thomas Young

    Thomas Young expuso mediante el experimento de la doble rendija la naturaleza ondulatoria de la luz.
    Posteriormente a una serie de pruebas en las cuales solo se abría una caja a la vez demostrando en el panel de frente cual caja contiene el átomo y cual no, se decidió abrir las dos cajas al mismo tiempo; donde no solo no se sabia de que caja había salido, si no que también se mostraban 4 concentraciones de átomos: llegando a la conclusión de que el átomo se comporta como una onda.
  • James Maxwell

    Maxwell formuló la teoría clásica de la radiación electromagnética, que unificó por primera vez la electricidad, el magnetismo y la luz como manifestaciones distintas de un mismo fenómeno. Así mismo, esta teoría sirve para explicar lo sucedido en el experimento de la doble rendija, mostrando otra vez que la luz se comporta como onda.
  • Max Planck

    Max Planck

    El científico alemán Max Planck, descubrió una constante fundamental denominada Constante de de Planck, mediante la cual explica que la energía no puede ser emitida ni absorbida de manera continua, si no en determinados momentos y pequeñas cantidades denominadas cuantos o fotones. En resumen, la energía es cuantificable.
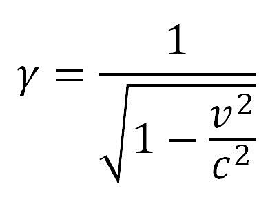
  • Hendrik Lorentz

    Hendrik Lorentz

    Este científico planteó el Factor de Lorentz como oposición a las Leyes de Newton, ya que estas no se adaptan a la mecánica cuántica, ya que cambia la percepción de la masa dependiendo su velocidad. La conclusión de esta ecuación es que no se puede alcanzar la velocidad de la luz (300.000 km/s).
    Lorentz fue el primero en formular las bases de la teoría de la relatividad junto a Henri Poincaré y James Maxwell.
  • Albert Einstein

    Albert Einstein

    Einstein creó la teoría de la Relatividad Especial, la cual se diferencia de la relatividad general por no contar con el concepto de gravedad. Esta teoría postula que el tiempo y el espacio no son absolutos, si no que se transforman con el movimiento, salvo la V de la C, la cual si es absoluta; ya que la C siempre viaja a la V de la C y la VC es la misma no importa quien ni de donde se mida. Dentro de esta teoría aparecen los conceptos de Dilatación Temporal, Simultaneidad, etc
  • Ernest Rutherford

    Ernest Rutherford

    Rutherford propuso un modelo atómico donde este posee un núcleo con cargas positivas (protones) y que en la zona extra nuclear se encuentran las cargas negativas (electrones).
  • Niels Bohr

    Niels Bohr

    Bohr llegó a la misma conclusión que Rutherford en cuanto al modelo atómico (solamente agregó la presencia de órbitas estables al rededor del núcleo) y con la diferencia de que Bohr incluyó la cuantización; ya que una vez llegado este punto se descubrió que la física de Newton no se puede explicar a nivel atómico.
  • Albert Einstein

    Albert Einstein

    En 1915 Einstein desarrolló la teoría de Relatividad General la cual abarca el movimiento, la materia, el espacio y el tiempo valida para todos los observadores en el cosmos. La importancia de esta teoría se basó en la inclusión del concepto de gravedad y el principio de equivalencia, donde establece que la materia distorsiona el tiempo y el espacio, y esto altera el movimiento libre de fuerzas.
  • Karl Schwarzschild

    Karl Schwarzschild

    Schwarzschild describe a los agujeros negros como una masa tan grande que genera tanta gravedad capaz de deformar el espacio-tiempo. Este científico creo el Radio de Schwarzschild el cual es la medida del tamaño de un agujero negro de Schwarzschild, es decir, un agujero negro de simetría esférica y estático. Esta ecuación habla de la presión de degeneración que ejerce una estrella cuando alcanza su limite en la contracción ejercida por la gravedad.
  • Louis Victor de Broglie

    Louis Victor de Broglie

    Recién en 1924 se pudo explicar la experiencia de la doble rendija de Young, ya que Broglie presentó la teoría de la Dualidad onda corpúsculo donde plantea que todo cuerpo que tenga masa y movimiento genera una onda.
  • Erwin Schödinger

    Erwin Schödinger

    El físico austriaco Erwin Schödinger desarrolló en 1925 la Ecuación de Onda, la cual resulta de suma importancia para la mecánica cuántica. Schödinger plantea que cada lugar en el espacio está cuantificado, por lo que la ecuación presupone las probabilidades de hallar un electrón en el espacio.
    Concluyendo el tema, se puede decir que la luz es una onda electromagnética y su propagación es una cuestión de probabilidad.
  • Werner Heisenberg

    Heisenberg estableció el Principio de Incertidumbre donde afirma que no se puede saber de manera exacta la ubicación de una partícula.
  • Subrahmanyan Chandrasekhar

    Subrahmanyan Chandrasekhar

    El Limite de Chandrasekhar expresa la situación de una estrella cuando la presión de degeneración no es suficiente para detener el efecto de la gravedad, la cual desemboca en la ruptura del espacio tiempo generando un agujero negro.
  • Robert Oppenheimer

    Oppenheimer estuvo de acuerdo con la teoría de Chandarsekhar.
  • Stephen Hawking y Roger Penrose

    Stephen Hawking y Roger Penrose

    Hawking y Penrose trabajaron en conjunto para demostrar que los agujeros negros emiten radiación. La Radiación de Hawking reduce la masa y la energía rotacional de los agujeros negros y, por lo tanto, también se conoce como "evaporación de agujeros negros". Debido a esto, se espera que los agujeros negros que no ganan masa por otros medios se encojan y finalmente desaparezcan.

Want to make a timeline like this?

Use Timetoast to turn dates, events, milestones, and phases into a clear visual timeline you can build and share. Timetoast is a timeline maker for work, school, research, and stories.