Images (22)

Ciencia Evolucion

  • Mesopotamia
    4000 BCE

    Mesopotamia

    Esta civilización se estableció en Asia, entre los ríos Tigris y Éufrates, cambiando su organización política entre la unificación y la división entre Alta Mesopotamia y Baja Mesopotamia. Junto con los egipcios, fueron los primeros en desarrollar una escritura se la considera la cuna de la civilización, ya que aquí se establecieron los primeros asentamientos que derivaron en formas sociales y políticas organizadas.
  • Harappa India
    3500 BCE

    Harappa India

    Dataciones cronologicas del inicio de la escritura en Harappa India
  • Egipto
    3150 BCE

    Egipto

    Se desarrolló a lo largo del curso inferior del río Nilo en la zona que hoy ocupa Egipto. Con el primer faraón se produjo la unificación del Alto y Bajo Egipto sus elementos más destacados fueron la escritura jeroglífica y la construcción de las pirámides.
  • Alejandría
    332 BCE

    Alejandría

    La cultura griega se expandió por otras ciudades conquistadas, como Alejandría, (Egipto), fundada por Alejandro Magno.
  • Antigua Grecia
    300 BCE

    Antigua Grecia

    Nose conserva ninguna obra científica Elementos del geómetra Euclides. De los tratados posteriores escritos por científicos griegos destacados sólo se conservan aproximadamente la mitad. Algunos están en griego,
    mientras que en otros casos se trata de traducciones realizadas
    por eruditos árabes en la edad media. Las escuelas y
    universidades medievales fueron los principales responsables de
    la conservación de estas obras y del fomento de la actividad
    científica.
  • Roma
    476

    Roma

    Roma entra a una etapa oscura para la ciencia, la iglesia y la teología domina la vida y el momento y tambien en esa etapa de la historia se le llama teocentrica la vida gira entorno a Díos, pero de alguna forma la ciencia se abría pasó.
  • Conquista de la ciudad de Toledo
    1085

    Conquista de la ciudad de Toledo

    El rey Alfonso VI comenzó un movimiento de traducción científica del árabe al latín, promovido por el arzobispo Raimundo de Toledo, Este movimiento continuó bajo el
    patrocinio de Alfonso X el Sabio y los astrónomos de su corte, su trabajo quedó
    reflejado en los Libros del saber de astronomía y las Tablas alfonsíes, tablas astronómicas que sustituyeron en los centros científicos de Europa a las renombradas Tablas toledanas de
    Azarquiel.
  • Habla Hispana, Salamanca
    1219

    Habla Hispana, Salamanca

    Se crea la primera universidad de
    habla hispana, Salamanca, cuyo lema “ quet natura non dat, Salmantica non prestat Lo que la naturaleza no da Salamanca no lo presta. Da cuenta de que el mundo de las
    ideas, el conocimiento y la especulación comenzaba nuevamente a alzar el vuelo.
  • La Accademia nazionale dei Lincei

    La Accademia nazionale dei Lincei

    Fundada para promover el estudio de las ciencias matemáticas, físicas y naturales. Ese mismo siglo, el apoyo de los gobiernos a la ciencia llevó a la fundación de la Royal Society de Londres y de la Academia de Ciencias de París. A la que pertenecio a Galileo
  • Rene Descartes

    Rene Descartes

    Si método racionalista, el cartesianismo, , su obra “ El Discurso del Método”, publicada en 1637 va a generar la máxima “cogito ergo sum, pienso luego existo “. Que se va a convertir en el eje central en este nuevo desarrollo del pensamiento científico, la duda para la búsqueda de la verdad.
  • Isaac Newton

    Isaac Newton

    La culminación de esos esfuerzos fue la formulación de la ley de
    la gravitación universal, expuesta por el matemático y
    físico británico Isaac Newton en su obra Philosophiae naturalis
    principia mathematica
  • La invención del cálculo infinitesimal

    La invención del cálculo infinitesimal

    Newton y del filósofo y matemático alemán Gottfried
    Wilhelm Leibniz sentó las bases de la ciencia y las matemáticas
    actuales. El cálculo infinitesimal, cálculo de infinitesimales o simplemente "Cálculo" constituye una parte muy importante de la matemática moderna. El cálculo infinitesimal se divide en dos áreas: cálculo diferencial y cálculo integral.
  • Sociedad Filosofica

    Sociedad Filosofica

    En Estados Unidos, un club organizado en 1727 por
    Benjamín Franklin se convirtió en la Sociedad Filosófica
    Americana.
  • Academia de las Artes y las Ciencias de América

    Se constituyó la Academia de las Artes y las
    Ciencias de América, fundada por John Adams, el segundo
    presidente estadounidense.
  • Siglo de las Luces

    Siglo de las Luces

    La confianza en la actitud científica influyó también en las ciencias sociales e
    inspiró el llamado Siglo de las Luces, que culminó en la Revolución Francesa.
  • Antoine Laurent de Lavoisier

    Antoine Laurent de Lavoisier

    El químico francés Antoine Laurent de Lavoisier está considerado como el padre de la química moderna. Se interesó sobre todo por los experimentos que permitían medir la materia. Y publicó el Tratado elemental de química e inició así la revolución de la química cuantitativa.
  • Teoria Biológica

    Teoria Biológica

    Se publico la teoría biológica de alcance más global fue la de la evolución, propuesta por Charles Darwin en su libro El origen de las especies, que provocó una polémica en la sociedad
    no sólo en los ámbitos científicos tan grande como la obra de Copérnico. Sin embargo, al empezar el siglo XX el concepto de evolución ya se aceptaba de forma generalizada, aunque su mecanismo genético continuó siendo discutido.
  • Renovacion Cientifica en America latina

    Renovacion Cientifica en America latina

    México, la Sociedad de Historia
    Natural, se aprobaron los estatutos. Como una agrupación científica sin fines lucrativos. Es la segunda más antigua sociedad científica que sigue funcionando hasta la fecha.
  • Sigmund Freud

    Sigmund Freud

    Sigmund Freud , fue medico y neurólogo fundador de la ciencia del comportamiento humano o psicológica, Freud es uno de los científicos más importante para el desarrollo de la ciencia medica y psicológica, que comprende los estudios científicos del
    comportamiento humano. Experimento con la cocina como analgésico, en 1885 viaja a París profundizando sus estudios sobre la histeria.
  • Santiago Ramon

    Santiago Ramon

    El histólogo español Santiago Ramón y Cajal obtuvo el Premio Nóbel de Fisiología y Medicina. Pionero en la investigación de la estructura fina del sistema nervioso, Cajal fue galardonado por haber aislado las células nerviosas próximas a la superficie del cerebro.
  • Recibimiento de Beca

    Recibimiento de Beca

    El Instituto Nacional de Física y Química de Blas Cabrera, que a finales de la década se recibió una beca de la Fundación Rockefeller para construir un nuevo y moderno edificio.
  • La fisica menos desarrollada

    La fisica menos desarrollada

    Einstein realizó en españa, la que el físico alemán fue
    recibido sobre todo por matemáticos, ya que la física estaba
    mucho menos desarrollada. En biomedicina, además de la
    neurohistología, adquirió relevancia la fisiología, dividida en dos
    grupos: el de Madrid, regido por Juan Negrín, quien formó al
    futuro premio Nobel Severo Ochoa, y el de Barcelona, dirigido por
    August Pi i Sunyer.
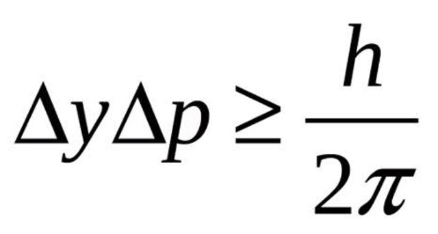
  • Formula de Werner Heisenberg

    Formula de Werner Heisenberg

    El físico alemán Werner Heisenberg
    formuló el llamado principio de incertidumbre, que afirma que
    existen límites a la precisión con que pueden determinarse a
    escala subatómica las coordenadas de un suceso dado.
  • Genetista

    Genetista

    El genetista estadounidense de origen ucraniano Theodosius Dobzhansky emprendió el primero de sus viajes a Brasil donde formó a toda una generación de genetistas brasileños en la genética de poblaciones. Descubrió que las
    poblaciones tropicales estaban dotadas de mayor diversidad
    genética que las templadas y, por lo tanto, pudieron ocupar más
    ‘nichos’ ecológicos que éstas.
  • Existencia de Piones

    Existencia de Piones

    César Lattes, investigando en el Laboratorio de Física Cósmica de Chacaltaya (Bolivia), confirmó la existencia de los piones (véase Física: Partículas elementales).
    También la genética resultó ser un campo de investigación
    fructífero en América Latina.
  • Severo Ochoa

    Severo Ochoa

    El bioquímico español Severo Ochoa obtuvo el Premio Nobel de Fisiología y Medicina. Fue el primero en
    sintetizar un ácido nucleico.
  • Fuga de cerebros

    Fuga de cerebros

    Se produjo en Latinoamérica la llamada ‘fuga de cerebros’ La fuga de cerebros, fuga de talentos o migración altamente calificada es la emigración de profesionales y científicos formados universitariamente en su país de origen​ a otras naciones, impulsados principalmente por la falta de oportunidades de desarrollo de sus áreas de investigación
  • Lucy (Australopithecus)

    Lucy (Australopithecus)

    En los campos de la evolución paleoantropología hay día a día nuevos descubrimiento,
    siendo el Australopithecus afarensis llamada Lucy, un hito del estudio de la
    antigüedad del ser humano. Lucy fue descubierta en Etiopía en 1974, en Hadar en las riberas del río Awash por el equipo del Dr. Donald Johanson. Luego se agrego el ramidus, con una mayor antigüedad, en este aspecto la ciencia descubre día a día nuevas pruebas sobre la antigüedad del ser
    humano.

Want to make a timeline like this?

Use Timetoast to turn dates, events, milestones, and phases into a clear visual timeline you can build and share. Timetoast is a timeline maker for work, school, research, and stories.