Campo gravitatorio y eléctrico

  • Period: 449 BCE to 323 BCE

    Grecia Clásica

    Teoría Geocéntrica: Tierra esférica, inmóvil en el centro del universo. El Sol y los planetas giran alrededor. Conocida desde muy antiguo. Desarrollada por Platón y Eudoxo, entre otros. Aristóteles (s.IV a.C). Los Planetas siguen órbitas circulares,Aristarco de Samos (s.III a.C): Propone que la Tierra gira alrededor del Sol. Es poco tenido en cuenta. Ptolomeo (s. II d.C):Amplía el Sistema para explicar nuevas observaciones, con los epiciclos.Este sistema prevalecerá durante 1300 años.
  • Period: 476 to 1472

    Edad Media

    Se mantiene la teoría geocéntrica. El sistema de Ptolomeo se complica cada vez más para poder
    explicar las observaciones.
    Los Matemáticos árabes mejoran la medida de la posición de estrellas y planetas
  • Period: 476 to 1492

    Edad Moderna

    Copérnico (1543):Critica el geocentrismo.Propone la Teoría Heliocéntrica.Los planetas (incluida la Tierra) giran alrededor del Sol siguiendo órbitas circulares Galileo Galilei(s.XVII):Desarrolla el telescopio. Descubre los satélites de Júpiter,las fases de Venus,las manchas solares. Apoya la teoría heliocéntrica de Copérnico.Kepler (s. XVII):Basándose en las observaciones de Tycho Brahe,apoya la hipótesis de Copérnico, y calcula las órbitas de los planetas,llegando a describirlas en tres leyes.
  • Johannes Kepler
    1571

    Johannes Kepler

    Johannes Kepler (Weil der Stadt, 27 de diciembre de 1571-Ratisbona, 15 de noviembre de 1630), figura clave en la revolución científica, fue un astrónomo y matemático alemán; conocido fundamentalmente por sus leyes sobre el movimiento de los planetas en su órbita alrededor del Sol. Fue colaborador de Tycho Brahe, a quien sustituyó como matemático imperial de Rodolfo II.
  • 1ª y 2ª Ley de Kepler

    1ª y 2ª Ley de Kepler

    Primera Ley: Los planetas se desplazan alrededor del Sol describiendo órbitas elípticas, estando el Sol situado en uno de los focos. Segunda Ley: El radio vector que une el planeta y el Sol barre áreas iguales en tiempos iguales.
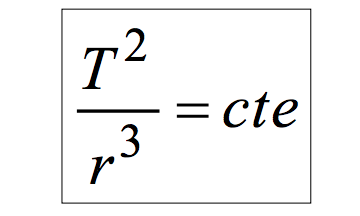
  • 3ª Ley de Kepler

    3ª Ley de Kepler

    Tercera Ley : El cociente entre el cuadrado del periodo de revolución y el cubo del radio medio de la órbita es una constante para todos los planetas.
  • Isaac Newton

    Isaac Newton

    Isaac Newton (Woolsthorpe, Lincolnshire; 1643-Kensington, Londres;1727) fue un físico, teólogo, inventor, alquimista y matemático inglés. Es autor de los Philosophiæ naturalis principia mathematica, más conocidos como los Principia, donde describe la ley de la gravitación universal y estableció las bases de la mecánica clásica mediante las leyes que llevan su nombre.
  • Ley de Gravitación Universal

    Ley de Gravitación Universal

    Isaac Newton explica y describe la interacción gravitatoria, unificando la gravedad terrestre (caída de
    cuerpos, movimientos parabólicos) y gravedad celeste (movimiento de los planetas y satélites). La explicación de
    esto queda recogida en la Ley de gravitación universal:
    "Entre dos cuerpos cualesquiera, de masas M y m, existe una atracción gravitatoria mutua, que es
    directamente proporcional a sus masas e inversamente proporcional al cuadrado de la distancia que los separa."
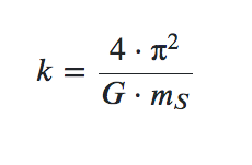
  • Constante de Kepler

    Constante de Kepler

    Tras la ley de gravitación universal, se puede verificar la constante de Kepler en el Sistema Solar, teniendo como el pensaba relación con el Sol. Siendo: k=4π^2/GM
  • Constante de Gravitación (G)

    Constante de Gravitación (G)

    La constante G, denominada constante de gravitación universal, fue calculada por Cavendish en 1798. Tiene el valor de G = 6,67 · 10^ -11 Nm^2/kg^2
  • Teoría de la Relatividad General

    Teoría de la Relatividad General

    Einstein, en 1915, publica su Teoría de la Relatividad General, en la que, entre otras cosas, explica que la masa de los cuerpos deforma el espacio-tiempo a su alrededor, de manera que otro cuerpo que esté a cierta distancia se ve afectado por dicha deformación, y verá modificado su movimiento. Así, la Tierra, en su movimiento alrededor del Sol lo que hace es seguir la curvatura del espacio originada por la enorme masa del Sol.

Want to make a timeline like this?

Use Timetoast to turn dates, events, milestones, and phases into a clear visual timeline you can build and share. Timetoast is a timeline maker for work, school, research, and stories.