You are not authorized to access this page.

Acontecimientos importantes de la física

  • La revolución de Copérnico
    1510

    La revolución de Copérnico

    Nicolás Copérnico rompió con más de diez siglos de dominio del geocentrismo. En su libro “Commentariolus”, dice por primera vez que la Tierra no es el centro del universo, sino uno de muchos planetas que giran alrededor del Sol. Con esta afirmación se enfrenta directamente a la Iglesia Católica
  • El péndulo

    El péndulo

    El péndulo​ es un sistema físico que puede oscilar bajo la acción gravitatoria u otra característica física (elasticidad, por ejemplo) y que está configurado por una masa suspendida de un punto o de un eje horizontal fijos mediante un hilo, una varilla, u otro dispositivo que sirve para medir el tiempo.
  • Balanza hidrostatica

    Balanza hidrostatica

    Una balanza hidrostática, o bilancetta, es un tipo de balanza destinada al estudio del empuje ascensional ejercido por los fluidos sobre los cuerpos inmersos en ellos. Su funcionamiento se basa en el principio de Arquímedes y está especialmente concebida para la determinación experimental de densidades de sólidos y líquidos.
  • Termómetro de agua

    Termómetro de agua

    Este termómetro está formado por un cilindro de vidrio con bolas de cristal de diferentes colores sumergidas en un líquido inerte. Cada bola está asociada a una temperatura que lleva grabada en una placa metálica. El termómetro funciona de la siguiente manera: con los cambios de temperatura, las bolas de vidrio multicolor suben y bajan. Los grados se pueden leer en la bola de vidrio más baja de las que han ascendido.
  • La ley de los cuerpos que caen

    La ley de los cuerpos que caen

    Galileo Galilei derrumbó la creencia Aristotélica de casi 2000 años, de que los objetos más pesados caen más rápido que otros más livianos, probando que todos los cuerpos caen con la misma rapidez. Se comenzaba a utilizar el método científico.
  • Caída de los graves

    Caída de los graves

    Se le llama caída libre o caída de graves al movimiento de un objeto o cuerpo en donde no existe resistencia de algún medio. Como ya se sabe, en el movimiento de la caída libre de los cuerpos intervienen varios factores que son: la forma del cuerpo y el medio por el que se desplaza
  • Ley de Boyle

    Ley de Boyle

    Fue descubierta por Robert Boyle en 1662. Edme Mariotte también llegó a la misma conclusión que Boyle, pero no publicó sus trabajos hasta 1676. Esta es la razón por la que en muchos libros encontramos esta ley con el nombre de Ley de Boyle y Mariotte.
    La ley de Boyle establece que la presión de un gas en un recipiente cerrado es inversamente proporcional al volumen del recipiente, cuando la temperatura es constante.
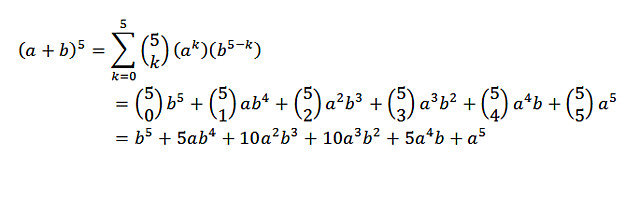
  • Teoría del binomio

    Teoría del binomio

    Issac Newton, físico, matemático y astrónomo, encontró el procedimiento para desarrollar binomios elevados a cualquier potencia.
  • Ley de Gravitación Universal

    Ley de Gravitación Universal

    Newton comenzó a preguntarse por la teoría de la gravedad cuando vio caer una manzana de un árbol en Woolsthorpe, Lincolnshire (Inglaterra) en 1666, sin embargo fue hasta 1687 cuando concluyo su teoría
  • Telescopio Newtoniano

    Telescopio Newtoniano

    El telescopio newtoniano o telescopio de Newton es un tipo de telescopio reflector inventado por el científico británico Sir Isaac Newton, usando un espejo primario cóncavo y un espejo secundario de plano diagonal. El primer telescopio reflector de Newton fue completado en 1668 y se trata de su primer telescopio reflector funcional conocido.​ El diseño simple del telescopio newtoniano hace que sea muy popular entre los creadores de telescopios aficionados.
  • Leyes del movimiento de Newton

    Leyes del movimiento de Newton

    Isaac Newton cambió nuestra comprensión del Universo al formular las tres leyes que describen el movimiento de los objetos. Casi 400 años después, estas mismas leyes que fundaron la Física Clásica son las que continúan utilizándose para calcular trayectorias de cuerpos, incluyendo las de vehículos espaciales.
  • Creación del grado Celsius

    Creación del grado Celsius

    Celsius definió su escala en 1742 considerando las temperaturas de congelación y ebullición del agua, asignándoles originalmente los valores 100 °C y 0 °C respectivamente (de manera que más caliente resultaba en una menor temperatura).
  • Estructura del Átomo

    Estructura del Átomo

    John Dalton comienza a presentar su teoría de que cada elemento químico corresponde a un tipo de átomo
  • Ley de Dalton

    Ley de Dalton

    Dalton fue un químico británico que desarrolló la Teoría atómica a partir del estudio de las propiedades físicas del aire atmosférico y de otros gases.
  • Ley de Gay-Lussac

    Ley de Gay-Lussac

    El químico francés Joseph Louis Gay-Lussac dio a conocer la relación matemática entre la temperatura y la presión.
  • Desarrollo de la termodinámica

    Desarrollo de la termodinámica

    Fue publicado por Sadi Carnot en 1824 en su único libro Réflexions sur la puissance motrice du feu et sur les machines propres à développer cette puissance​ (Reflexiones sobre la potencia motriz del fuego y sobre las máquinas propias a desarrollar esta potencia) y permitió abrir el camino para la formulación de la segunda ley de la termodinámica.
  • Ley de Graham

    Ley de Graham

    Thomas Graham demostró que la velocidad de efusión de dos gases es inversamente proporcional a la raíz cuadrada de la densidad, cuando se encuentran a igual temperatura y presión.
  • Escala de temperatura Kelvin

    Escala de temperatura Kelvin

    Las ideas de Joule sobre la naturaleza del calor ejercieron, efectivamente, una considerable influencia en Kelvin, y llevaron a éste, en 1848, a la creación de una escala termodinámica para la temperatura, de carácter absoluto, y, por lo tanto, independiente de los aparatos y las sustancias empleados; tal instrumento lleva el nombre de su inventor, y es utilizado corrientemente en muchas medidas termométricas.
  • Avances fundamentales en electricidad y magnetismo.

    Avances fundamentales en electricidad y magnetismo.

    Maxwell unificó ambos fenómenos y las respectivas teorías vigentes hasta entonces en la Teoría del electromagnetismo, descrita a través de las Ecuaciones de Maxwell.
  • Ecuaciones de estado: Van der Waals

    Ecuaciones de estado: Van der Waals

    Johannes Van der Waals propuso una versión corregida de la ley de los gases ideales.
  • Thomson descubrió el electrón.

    Thomson descubrió el electrón.

    El 30 de abril de 1897, Joseph John (JJ) Thomson anunció el descubrimiento del electrón (aunque él no lo llamó así, lo llamó corpúsculo) en una conferencia impartida en la Royal Institution (Londres).
  • Relatividad Especial

    Relatividad Especial

    Albert Einstein demolió supuestos básicos sobre el espacio y el tiempo describiendo que el tiempo transcurre más lentamente y los objetos se alargan y vuelven más masivos al acercarse a la velocidad de la luz
  • Albert Einstein

    Albert Einstein

    Efecto fotoeléctrico y teoría de la actividad especial y equivalencia a masa y energia
  • Modelo atómico de Rutherford

    Modelo atómico de Rutherford

    El modelo atómico de Rutherford es un modelo atómico o teoría sobre la estructura interna del átomo propuesto por el químico y físico británico-neozelandés Ernest Rutherford​ en 1911, para explicar los resultados de su «experimento de la lámina de oro.
    Rutherford llegó a la conclusión de que la masa del átomo se concentraba en una región pequeña de cargas positivas que impedían el paso de las partículas alfa.
  • Marie Curie

    Marie Curie

    Aportaciones del estudio de los fenómenos radioactivos.
  • Partículas Subatómicas

    Partículas Subatómicas

    Se confirma que los átomos están constituidos por neutrones, protones y electrones. A continuación se encuentran partículas aún más pequeñas como el positrón ó neutrino y el mesón (una partícula intranuclear de vida muy breve (2.6 cienmillonésimas de segundo).
  • El neutrón

    El neutrón

    James Chadwick descubrió los neutrones que junto con protones y electrones componen el átomo. Este hallazgo cambió dramáticamente el modelo del átomo y aceleró los descubrimientos en la Física Atómica.
  • Quarks

    Quarks

    Murray Gell-Mann propuso la existencia de partículas fundamentales que combinadas forman objetos como protones y neutrones que hasta entonces se creían los más pequeños. Los protones y los neutrones poseen ambos tres quarks.
  • Richard feynman

    Richard feynman

    Abrió nuevas vías en compas como la mecanica cuántica, la electrodinámica cuántica, matena condensadas, interacciones y partículas elementales
  • La radiación de Hawking

    La radiación de Hawking

    La radiación de Hawking es un tipo de radiación producida en el horizonte de sucesos de un agujero negro y debida plenamente a efectos de tipo cuántico. La radiación de Hawking recibe su nombre del físico británico Stephen Hawking, quien postuló su existencia por primera vez en 1974 describiendo las propiedades de tal radiación y obteniendo algunos de los primeros resultados en gravedad cuántica

Plan projects on a visual timeline

Map milestones, phases, deadlines, and key events in one place so the sequence is easier to see and share. Timetoast is a timeline maker for work, school, research, and stories.