Internet Evolution

  • MIT Lincoln Lab

    MIT Lincoln Lab

    Dos computadoras del laboratorio Lincoln de MIT transfieren data utilizando la tecnología packet-switching.
  • Nacimiento del IMP

    Nacimiento del IMP

    Surgen los Procesadores del Interfaz de Mensaje (IMP) y comienzan los planes de comunicación entre computadoras en ARPANET.
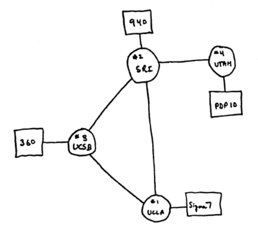
  • Surge la primera red y restructuración de la misma

    Surge la primera red y restructuración de la misma

    Se instala la primera red de comunicaciones y se comienza a refinar donde UCLA se convierte en el primero nodo y es ahí donde se crea el primer sistema de medición de la red.
  • Selección de puntos de conexión y software de comunicación.

    Selección de puntos de conexión y software de comunicación.

    Se comienza a desarrollar un software en cada punto de comunicación para comunicar las computadoras. En octubre se realiza el primer “log-in” lo cual quiebra la segundo computadora pero el segundo intento funciona.
  • Crece red militar y se añaden industrias a la misma. Principios de los 70

    Los números de terminales en la red aumentan considerablemente y se añaden industrias que trabajan para el gobierno.
  • Surge el primer ISP

    Surge el primer ISP

    La compañía BBN crea el servicio llamado Telenet para proveer internet a usuarios públicos en sus hogares. Esto provoca una crisis en DARPA y surge la primera disputa para liberar el código para las comunicaciones.
  • DARPA y UC Berkley desarrollan TCP/IP

    DARPA le provee ayuda a UC Berkley para desarrollar el TCP/IP el cual estaban trabajando para unos sistemas Unix. También hacen el UUCP para sistemas “Dail-Up”.
  • Surge el Email y comunicación por diversos medios.

    Surge el Email y comunicación por diversos medios.

    Cerf y Kahn demuestran la comunicación de un paquete de información enviado pro línea donde luego se envía pro aire a un satélite el cual regresa a otro punto y continúa su trayectoria por línea. Demostrando así las capacidades de comunicación internacional. Larry Landweber de University of Wisconsin THEORYNET proveyendo email entre más de 100 investigadores y conectando elementos de University of Wisconsin en diferentes lugares a través de servicios de paquetes comerciales como Telnet.
  • Se origina el primer servidor.

    Se origina el primer servidor.

    UNC crea el USENET el cual es un servidor donde las universidades como Duke se podían conectar y el mismo le envía información de algún grupo de noticias posteadas.
  • Creación de redes

    Creación de redes

    HEPNet creo una línea para alquiler manejada por voluntarios
    Servicios de Packet Switching internacional y británico logran ponerse en línea.
    H&R Block Compra Compuserve quien fue el primer ISP público. y H&R Block Compra Compuserve quien seria el primer ISP publico.
  • Networks a nivel Internacional y el primer intruso en la red.

    Networks a nivel Internacional y el primer intruso en la red.

    Surgen varias redes en lugares como Europa, Francia y Corea.
    Revista Time publica articula de 4 jóvenes de 13 años que infiltran la red, ingresan a bancos de datas y borran 10MB de computadora de compañía de cemento de Canadá.
  • Surge el Comité federal de investigación de internet, Consejo federal de redes y la Idea de un DNS

    ARAPANet se divide en militar e investigación.
    Se describe el DDN el cual es básicamente un “network switch”.
    Se crea el primer comité federal de investigación de internet. Se hace pública la idea de un “ Domain Name Server”
  • Entra en servicio el primer DNS

    Entra en servicio el primer DNS

  • Primer ataque en la RED

    Primer ataque en la RED

    Morris Worm ocasiona el primer DDOS.
    Las redes y servicios siguen en aumento entre universidades, comercios y centros de investigación de ciencia como la NASA. Esto también como resultado del aumento de dinero para el desarrollo y investigación de Internet.
  • Sale AOL

    Sale AOL

    Se publica el primer software de Americana Online. Creando punto en la accesibilidad de usuarios al internet desde su hogar.
  • WWW, HTML y URL

    WWW, HTML y URL

    Los científicos comienzan a encaminarse a “World Wide Web”. Surge el formato HTML y las direcciones URL. Esto provee una mayor facilidad para navegar eh interactuar entre diferentes redes.
  • Casa Blanca y las Naciones Unidas hacen presencia en el internet.

    Casa Blanca y las Naciones Unidas hacen presencia en el internet.

    Casa blanca desarrolla su página web que se publicó en el 1994
    Las Naciones Unidas lanzan su sistema de documentos oficiales en la red.
  • Se crea el W3C

    Se crea el W3C

    El Consorcio WWW, en inglés: World Wide Web Consortium (W3C), es un consorcio internacional que genera recomendaciones y estándares que aseguran el crecimiento de la World Wide Web a largo plazo.
  • Surge el Boom para el usuario de la casa del internet!!!

    Microsoft envía el memo avisando sobre la era del internet que se avecina mientras lanzan Windows 95 al mercado y con un nuevo software la navegar la web, Internet Explorer. Tambien surgen los websites Amazon.com y Ebay.com. Por ultimo sale el “Search Engine” Yahoo.com.
  • El gobierno estadounidense intenta censurar la internet.

    El gobierno estadounidense intenta censurar la internet.

    La Communications Decency Act de 1996 (abreviada CDA; en español: Ley de Decencia en las Telecomunicaciones) fue un acta del Congreso de los Estados Unidos que buscaba prohibir la pornografía en Internet. En un caso de 1997, llamado Reno contra ACLU, la Corte Suprema de los Estados Unidos rechazó la ley por atentar contra la libertad de expresión.
    Link text
  • Fundacion de Internet2

    Fundacion de Internet2

    Internet2 (I2) o UCAID (University Corporation for Advanced Internet Development) es un consorcio sin ánimo de lucro que desarrolla aplicaciones y tecnologías de redes avanzadas, la mayoría para transferir información a alta velocidad.
  • Nace Google.com

    Nace Google.com

    Se funda Google Inc. Para promover so “Search Engine” el cual será el rival de Yahoo.com
  • Llega Napster y  El primer E-mail Virus

    Llega Napster y El primer E-mail Virus

    Comienza la controversia de la piratería the audio y video con la creación de Napster y se crea el primer virus capas de auto-enviarse a toda la lista de emails de la computadora que infecte.
  • Mercadeo y problemas legas en la web.

    Mercadeo y problemas legas en la web.

    El caso Estados Unidos contra Microsoft fue un conjunto de acciones legales planteadas contra Microsoft Corporation. La parte acusadora planteó la razón del éxito de Microsoft en la guerra de los navegadores ya que cada usuario de Windows contaba con una copia del Internet Explorer. Link text
  • Aumentan los email "spam"

    Aumentan los email "spam"

    Aumentan considerablemente la cantidad de emails “spam” ocupando casi el 50% de la cantidad de emails que fluyen en la red.
  • Nace el termino web 2.0

    Nace el termino web 2.0

    La Web 2.0, está formada por las plataformas para la publicación de contenidos, como Blogger, las redes sociales, como Facebook, los servicios conocidos como wikis (Wikipedia) y los portales de alojamiento de fotos, audio o vídeos (Flickr, YouTube).
  • Se retira Abilene Network y es remplazada por Internet2

    Se retira Abilene Network y es remplazada por Internet2

    INternet 2 comienza a operar su más reciente Red de Circuito Dinámico. una tecnología avanzada que permite la asignación de circuitos de datos en la red de fibra óptica basándose en el usuario.
  • Se introduce HTML5

    Se introduce HTML5

    HTML5 es la quinta revisión importante del lenguaje básico de la World Wide Web, HTML. HTML5 especifica dos variantes de sintaxis para HTML: una «clásica», HTML (text/html), conocida como HTML5, y una variante XHTML conocida como sintaxis XHTML5 que deberá servirse con sintaxis XML (application/xhtml+xml).1 2 Esta es la primera vez que HTML y XHTML se han desarrollado en paralelo.
  • Comercio Electronicso (ecomerce) muestra ventas de $1Trillon a nivel global

    Comercio Electronicso (ecomerce) muestra ventas de $1Trillon a nivel global

  • Edward Snowden saca a luz publica documentos de la CIA

    Edward Snowden saca a luz publica documentos de la CIA

    Edward Snowden envía a diferentes organizaciones de media documentos de la CIA exponiendo un programa de vigilancia electrónica.
  • HTML5 vercion definitiva.

    HTML5 vercion definitiva.

    Se publica la vercion definitiva de HTML5.
  • OpenSSL continiene una volnerabilidad que afecta a importantes entidades.

    OpenSSL continiene una volnerabilidad que afecta a importantes entidades.

    La explotación de esta vulnerabilidad puede llevar a la revelación de el contenido de la memoria del servidor al cliente y del cliente hacia el servidor. Cualquier atacante puede obtener de manera remota información sensible de la memoria, incluyendo, y sin limitarse a llaves secretas usadas para el cifrado SSL y tokens de autenticación. De este servicio depende los bancos, agencias de gobierno, tiendas online, etc...

Looking for a timeline maker?

Create timelines for projects, roadmaps, history, lessons, legal cases, and stories with Timetoast. Timetoast is a timeline maker for work, school, research, and stories.