Historia y evoluciÛn de Internet

  • ARPANET2

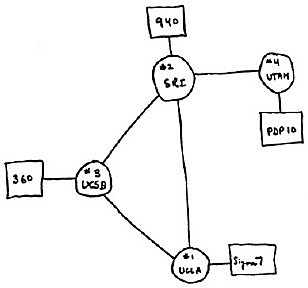
    ARPANET2

    Se formo la 1era red sin nodos centrales, de la que formaban parte cuatro universidades estadounidenses: Universidad de
    California Los Angeles (UCLA), Universidad de California Santa Barbara (UCSB), Universidad de Utah y
    Stanford Research Institute (SRI)
  • Period: to

    ARPANET

    La primera transmisión tuvo lugar el 29 de octubre de 1969, entre
    UCLA y SRI. Al percatarse de las ventajas que conllevaba la
    interconexión, se fueron incorporando diversas universidades e instituciones; asÌ, en 1971 ya habÌa 15
    nodos y, en 1973, ARPANET se internacionaliz.
  • Period: to

    EL CORREO ELECTRONICO

    También se debe a Tomlinson empleo del popular
    sÌmbolo @. Enseguida advirtió que necesitaba un caracter para separar el nombre del usuario y
    el nombre del servidor y, para evitar confusiones.Las negociaciones fueron un tira y afloja
    recordó a partida de la oferta inicial de Microsoft era de unas decenas de millones, pero Bhatia supo
    aguantar el farol y subió la apuesta. Finalmente, en la
    Nochevieja de 1997 Hotmail era adquirida por Microsoft
  • Period: to

    SPAM Y SMILEY, DOS NUEVAS PALABRAS

    la primera persona que propuso utilizar un smiley en los mensajes de correo fue un tal Kevin MacKenzie, que el 12 de abril de 1979 sugirión en MsgGroup (una especie de grupo de noticias de la
    Època) que se emplease la combinaciÛn :-) para denotar una sonrisa Y como la palabra inglesa smiley significa ìrisuesión de ahÌ, surgió el término. Sin embargo, los emoticones sÛlo comenzaron a
    popularizarse a partir de 1982, cuando Scott E. Fahlman29, de la universidad de Carnegie Mellon
  • Period: to

    PROGRAMACIÓN DEL INTERNET

    Diseño un programa, que permitiera almacenar y
    recuperar información mediante asociaciones no deterministas. Partiendo de ese programa, en octubre de
    1990 emprendio la elaboración del HTML6, que permite combinar texto, im·genes y establecer enlaces a
    otros documentos. Tambien es creación suya el primer
    servidor World Wide Web y el primer programa cliente
    WorldWideWeb, Internet7 y desde entonces, World Wide
    Web.
  • Period: to

    ARPA

    Declaró como estandar el protocolo
    TCP/IP (Transfer Control Procotol/Internet Protocol) y
    es entonces cuando aparece la primera definición de
    Internet: conjunto de internet conectadas mediante
    TCP/IP
  • Period: to

    EL SOFTWARE PARA NAVEGAR

    La empresa Netscape lanzó su navegador,
    tomando como base Mosaic, y a lo siguiente ya
    dominaba más del 80% del mercado
  • Period: to

    NOMBRES DE DOMINIOS

    Todo empezó en abril de 1994 como un pasatiempo juvenil. Dos estudiantes de IngenierÌa eléctrica en la
    Universidad de Stanford, David Filo y Jerry Yang (figura 11), pasaban su tiempo libre navegando por Internet
    y, para organizarse un poco, fueron archivando las
    direcciones que m·s les gustaban, agrupandolas por
    temas.
  • Period: to

    LOS BUSCADORES

    la dirección fue propag·ndose de boca en
    boca y pronto fue una de las más visitadas en la Red.
    ¡Ventajas de ser los primeros en ofrecer el servicio!
    Finalmente, cambiaron su nombre por otro m·s promocional y asÌ nació Yahoo!

A list shows items. A timeline shows sequence.

Use Timetoast to make dates, milestones, and turning points easier to understand in a clear visual format. Timetoast is a timeline maker for work, school, research, and stories.